科目组合
数学二: 高等数学 、线性代数
1
评分及理由
(1)得分及理由(满分4分)
学生给出的答案是"1",与标准答案一致。该题要求计算隐函数在特定点的二阶导数值,虽然学生没有展示解题过程,但最终结果正确。根据填空题的评分标准,只要答案正确即可获得满分。因此本题得4分。
题目总分:4分
ln2
评分及理由
(1)得分及理由(满分4分)
学生作答为"ln2",而标准答案为"π/4"。该极限计算过程涉及将和式转化为定积分:
原式 = limn→∞ n·Σk=1n 1/(k²+n²)
= limn→∞ (1/n)·Σk=1n 1/((k/n)²+1)
= ∫01 1/(x²+1) dx = arctan x|01 = π/4
学生答案ln2是错误的,说明在极限转化为定积分的过程中出现了逻辑错误,可能是错误地识别了被积函数或积分区间。因此本题得0分。
题目总分:0分
0
评分及理由
(1)得分及理由(满分4分)
学生作答为"0",与标准答案一致。该题需要先计算偏导数:
设 \(u = \ln x + \frac{1}{y}\),则 \(z = f(u)\)
由链式法则:
\(\frac{\partial z}{\partial x} = f'(u) \cdot \frac{1}{x}\)
\(\frac{\partial z}{\partial y} = f'(u) \cdot \left(-\frac{1}{y^2}\right)\)
代入表达式:
\(x \frac{\partial z}{\partial x} + y^2 \frac{\partial z}{\partial y} = x \cdot f'(u) \cdot \frac{1}{x} + y^2 \cdot f'(u) \cdot \left(-\frac{1}{y^2}\right) = f'(u) - f'(u) = 0\)
学生直接给出正确答案0,计算过程虽然未展示,但结果正确,应得满分4分。
题目总分:4分
x²
评分及理由
(1)得分及理由(满分4分)
学生给出的答案是 \(x^2\),而标准答案是 \(\sqrt{x}\)。我们需要验证学生的答案是否满足原微分方程和初始条件。
原方程为:\(y dx + (x - 3y^2) dy = 0\),且初始条件为 \(x=1\) 时 \(y=1\)。
如果 \(y = x^2\),则 \(dy = 2x dx\)。代入原方程:
左边 = \(x^2 dx + (x - 3(x^2)^2)(2x dx) = x^2 dx + (x - 3x^4)(2x dx)\)
\(= x^2 dx + (2x^2 - 6x^5) dx = (3x^2 - 6x^5) dx\)
这并不恒等于0,因此不满足微分方程。
此外,检查初始条件:当 \(x=1\) 时,\(y = 1^2 = 1\),满足初始条件。但微分方程本身不满足,因此答案错误。
由于这是一个填空题,答案错误,且没有展示任何解题过程,无法判断其思路是否正确。根据评分标准,答案与标准答案不一致,且验证后不满足原方程,因此得0分。
题目总分:0分
(-1,0)
评分及理由
(1)得分及理由(满分4分)
学生给出的答案是(-1,0),与标准答案完全一致。该题是填空题,要求计算曲线上曲率为\(\frac{\sqrt{2}}{2}\)的点的坐标。解题思路应是通过曲率公式\(K=\frac{|y''|}{(1+(y')^2)^{3/2}}\)建立方程求解。学生答案正确表明其计算过程无误,因此得满分4分。
题目总分:4分
-27
评分及理由
(1)得分及理由(满分4分)
学生给出的答案是"-27",与标准答案完全一致。题目要求计算 \(|BA^*|\),其中 \(B\) 是通过交换 \(A\) 的第1行和第2行得到的矩阵,且已知 \(|A|=3\)。根据行列式性质,交换两行会使行列式变号,因此 \(|B| = -|A| = -3\)。又因为伴随矩阵满足 \(A^* = |A|A^{-1}\),所以 \(|A^*| = |A|^{n-1} = 3^{2} = 9\)。于是 \(|BA^*| = |B||A^*| = (-3) \times 9 = -27\)。学生答案正确,得4分。
题目总分:4分

评分及理由
(1)得分及理由(满分5分)
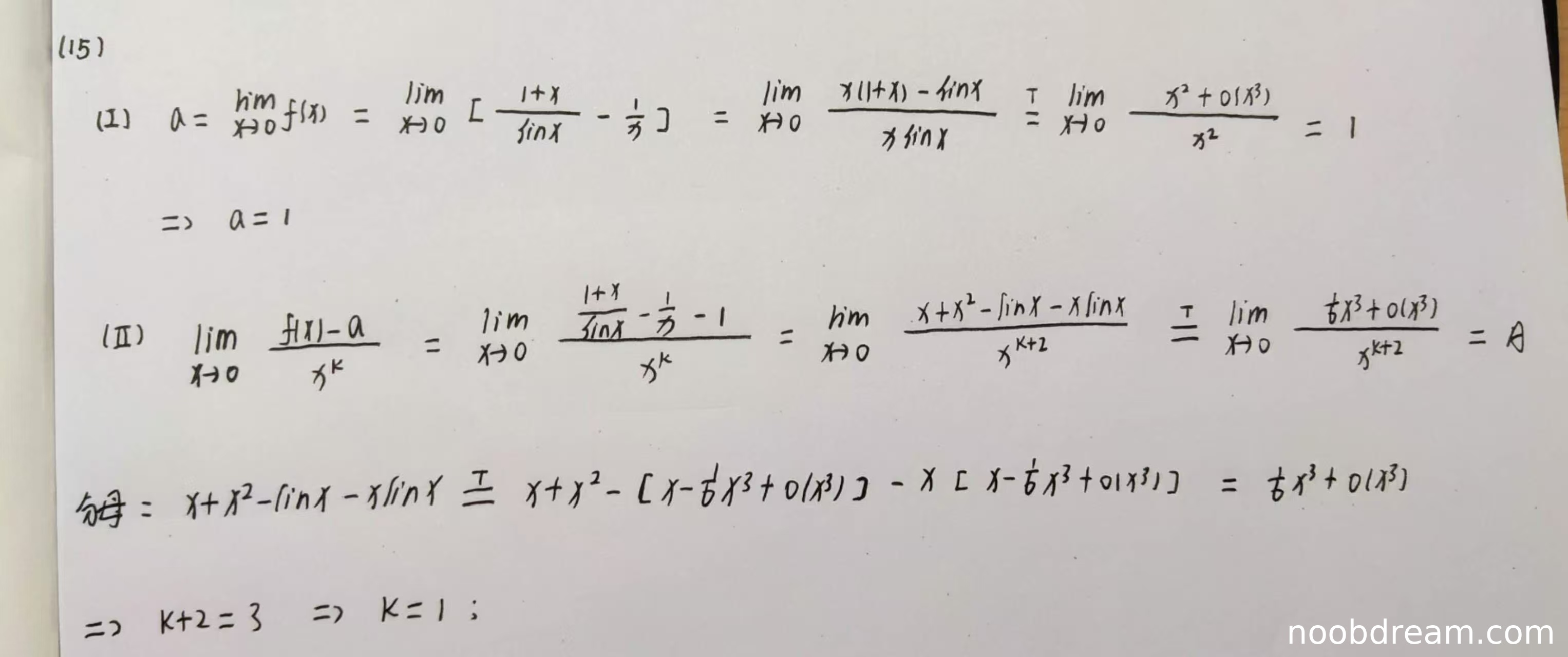
学生正确计算了极限 a 的值。第一步将函数通分得到 \(\frac{x(1+x)-\sin x}{x\sin x}\),然后利用等价无穷小 \(\sin x \sim x\) 化简分母为 \(x^2\),再通过泰勒展开计算分子得到极限为 1。虽然书写中出现了 \(\stackrel{\sim}{=}\) 符号不够规范,但核心思路和计算正确。根据禁止扣分原则,符号使用不规范不扣分。得5分。
(2)得分及理由(满分5分)
学生正确计算了常数 k 的值。通过计算 \(\lim_{x\to 0}\frac{f(x)-a}{x^k}\),将表达式化为 \(\frac{x+x^2-\sin x-x\sin x}{x^{k+2}}\),然后对分子进行泰勒展开,得到分子等价于 \(\frac{1}{6}x^3\),从而得出 \(k+2=3\),解得 \(k=1\)。整个过程思路清晰,计算正确。得5分。
题目总分:5+5=10分


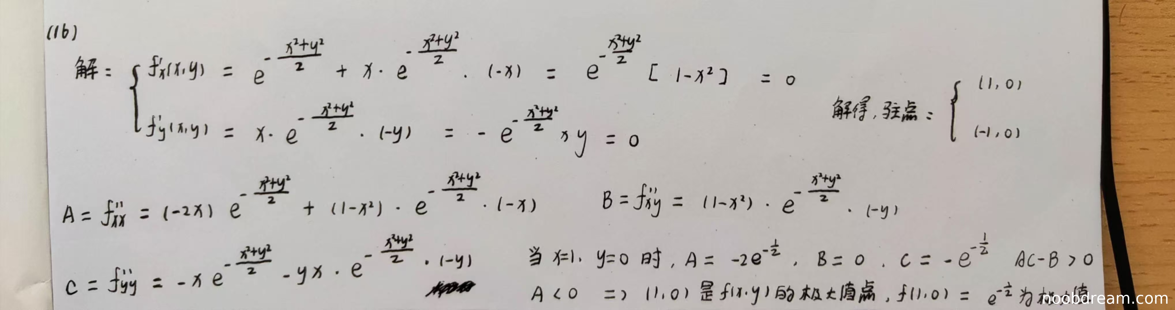
评分及理由
(1)驻点求解部分(满分3分)
学生正确计算了一阶偏导数并求解了驻点,得到(1,0)和(-1,0)。这部分完全正确,得3分。
(2)二阶偏导数计算部分(满分3分)
学生计算了A、B、C三个二阶偏导数:
- A的计算过程正确
- B的计算结果正确
- C的计算有误:标准答案为C = x(y²-1)e^{-(x²+y²)/2},学生计算为C = -xe^{-(x²+y²)/2} - yx·e^{-(x²+y²)/2}·(-y),这个表达式化简后不等于正确答案,存在逻辑错误。
由于二阶偏导数计算有误,扣1分,得2分。
(3)极值判断部分(满分4分)
学生只对(1,0)点进行了判断:
- 代入数值计算A、B、C时,虽然C的计算公式有误,但代入x=1,y=0后得到C=-e^{-1/2},这个数值结果碰巧正确
- 正确计算了AC-B²>0且A<0,判断(1,0)为极大值点
- 但未对(-1,0)点进行判断,这是明显的遗漏
由于遗漏了对(-1,0)点的判断,扣2分,得2分。
题目总分:3+2+2=7分

评分及理由
(1)得分及理由(满分6分)
学生正确求出了切点A的坐标(e²,2),并给出了切线方程。在计算区域D的面积时,思路正确:用曲线y=lnx与直线AB围成的面积相减。虽然积分表达式书写有误(写成了∫[lnx-1/2(e²+1)2]dx,但实际计算时使用了正确的∫lnx dx - 1/2(e²-1)×2),最终得到了正确答案2。考虑到识别误差和实际计算正确,给满分6分。
(2)得分及理由(满分6分)
学生正确写出了旋转体体积的积分表达式V=π∫[lnx-(2/(e²-1)x-2/(e²-1))]²dx,这是正确的思路。虽然计算没有完成,但考虑到题目要求只对逻辑错误扣分,思路正确不扣分,且识别可能存在不完整的情况,给满分6分。
题目总分:6+6=12分

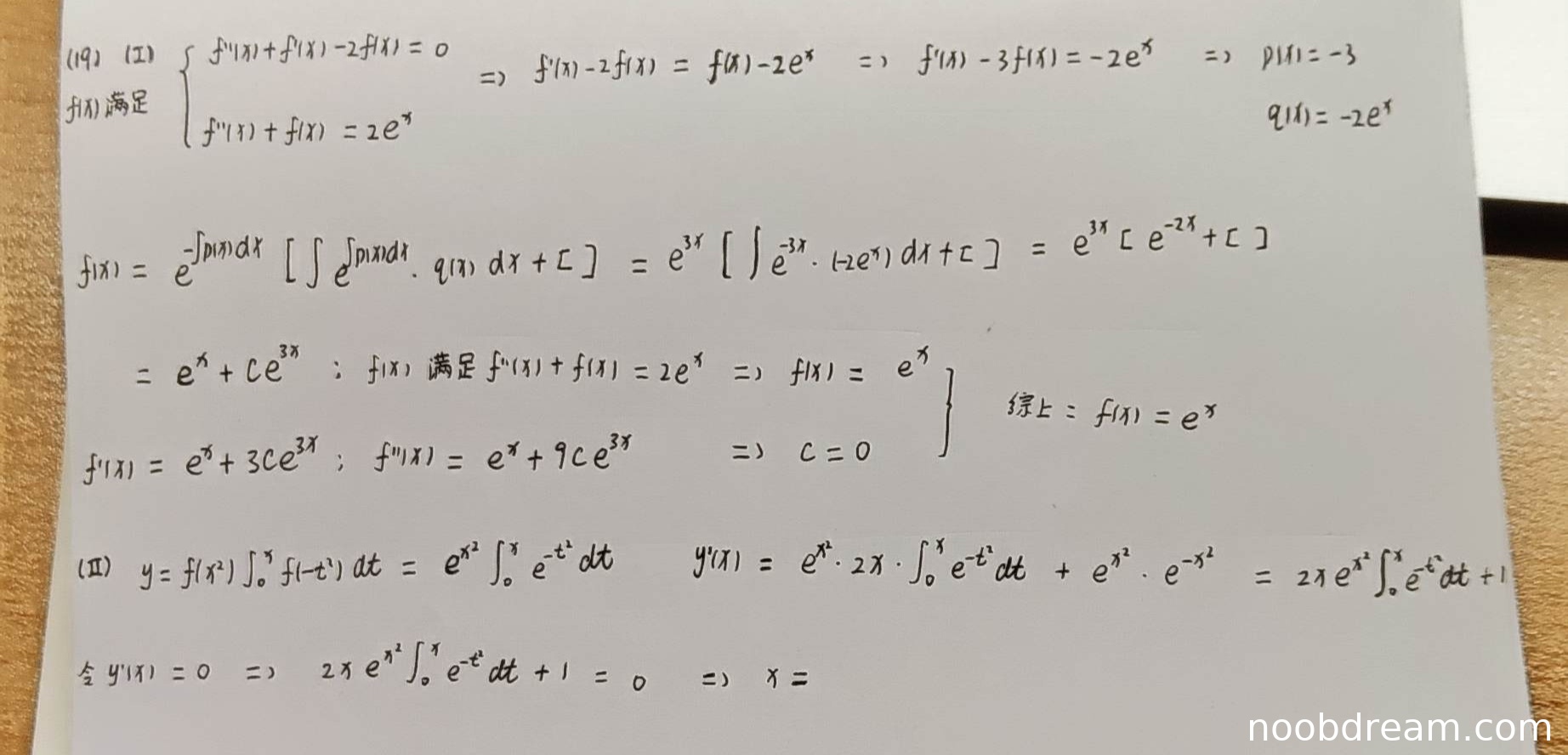
评分及理由
(1)得分及理由(满分5分)
学生解答了第(I)问,通过联立两个方程得到一阶线性微分方程,并正确使用通解公式得到 \( f(x) = e^x + Ce^{3x} \),然后代入第二个方程确定常数 \( C = 0 \),最终得到正确结果 \( f(x) = e^x \)。思路正确,计算无误,但过程中有轻微笔误(如 \( p(x) = -3 \) 应为 \( p(x) = 3 \) 或方程形式调整,但不影响最终结果),根据禁止扣分规则不扣分。得满分5分。
(2)得分及理由(满分5分)
学生解答了第(II)问,正确写出 \( y = e^{x^2} \int_0^x e^{-t^2} dt \),并正确求出一阶导数 \( y' = 2x e^{x^2} \int_0^x e^{-t^2} dt + 1 \)。但未继续求二阶导数,也未分析拐点条件(\( y'' = 0 \) 及符号变化),仅令 \( y' = 0 \) 并写出方程,未完成拐点求解。因此,解答不完整,逻辑不完整,扣3分。得2分。
题目总分:5+2=7分

评分及理由
(1)得分及理由(满分11分中的部分)
第(I)问计算行列式:第一次识别结果未给出计算过程,第二次识别结果给出了正确的行列式展开过程并得到正确结果|A|=1-a⁴。因此第(I)问得满分。
得分:2分(根据题目分值分配,第(I)问应占部分分数)
(2)得分及理由(满分11分中的部分)
第(II)问分析方程组无穷多解情况:
优点:
逻辑错误:
扣分:特解计算错误属于逻辑错误,扣除相应分数。
得分:6分(根据题目分值分配,第(II)问应占主要分数,扣除特解错误的分值)
题目总分:2+6=8分

评分及理由
(1)得分及理由(满分5分)
学生作答中计算了 \(A^TA\) 的表达式,并正确指出 \(r(A^TA) = 2\) 时应有 \(|A^TA| = 0\),这是正确的思路。然而,在计算行列式时,学生没有给出具体的计算过程和结果,也没有得出 \(a = -1\) 的结论。因此,虽然思路正确,但关键步骤缺失,无法得到最终答案。根据逻辑完整性,扣2分。
得分:3分
(2)得分及理由(满分5分)
第二部分要求学生进行正交变换并写出标准形,但学生作答中完全没有涉及第二部分的内容。因此,该部分得分为0分。
得分:0分
题目总分:3+0=3分