科目组合
数学二: 高等数学 、线性代数
-2
评分及理由
(1)得分及理由(满分5分)
学生直接给出了答案"-2",与标准答案完全一致。虽然题目要求写出计算过程,但作为填空题,如果只要求填写最终结果,那么给出正确答案即可得满分。本题中学生的答案正确,因此得5分。
题目总分:5分

评分及理由
(1)得分及理由(满分5分)
学生第一次识别结果为 \(\frac{4}{3}\pi+\sqrt{3}\),第二次识别结果为 \(\frac{4\pi}{3}+\sqrt{3}\)。这两个结果在数学上是等价的,且与标准答案 \(\sqrt{3}+\frac{4}{3} \pi\) 完全一致。根据评分要求,只要有一次识别正确就不扣分,因此本题得满分5分。
题目总分:5分
-(3/2)
评分及理由
(1)得分及理由(满分5分)
学生给出的答案是"-(3/2)",即 \(-\frac{3}{2}\),这与标准答案完全一致。
虽然学生没有展示解题过程,但填空题只要求最终结果,且答案正确。
根据评分标准,答案正确应给满分。
得分:5分
题目总分:5分
-(11/9)
评分及理由
(1)得分及理由(满分5分)
学生给出的答案是"-(11/9)",与标准答案"-\frac{11}{9}"完全一致。该答案正确表示了法线斜率的数值和符号,符合题目要求。根据评分规则,答案正确应给满分5分。
题目总分:5分
0
评分及理由
(1)得分及理由(满分5分)
学生给出的答案是"0",而标准答案是"1/2"。该题需要利用函数方程和积分条件进行推导。学生答案与正确答案不符,说明没有正确解题思路或计算错误。根据填空题评分标准(正确得5分,错误得0分),本题得0分。
题目总分:0分
4
评分及理由
(1)得分及理由(满分5分)
学生给出的答案是4,而标准答案是8。这道题需要利用行列式的性质和已知条件进行计算。首先,已知行列式: \[ \begin{vmatrix} a & 0 & 1 \\ 1 & a & 1 \\ 1 & 2 & a \end{vmatrix} = 4 \] 需要求的行列式是: \[ \begin{vmatrix} 1 & a & 1 \\ 1 & 2 & a \\ a & b & 0 \end{vmatrix} \] 通过观察,可以发现第二个行列式是第一个行列式的行交换和列变换的结果。具体来说,将第一个行列式的第一行和第三行交换,然后进行其他变换(如列交换或线性组合),可以建立两个行列式之间的关系。计算后应得到结果为8。学生答案4与正确结果不符,因此本题得0分。
题目总分:0分

评分及理由
(1)得分及理由(满分5分)
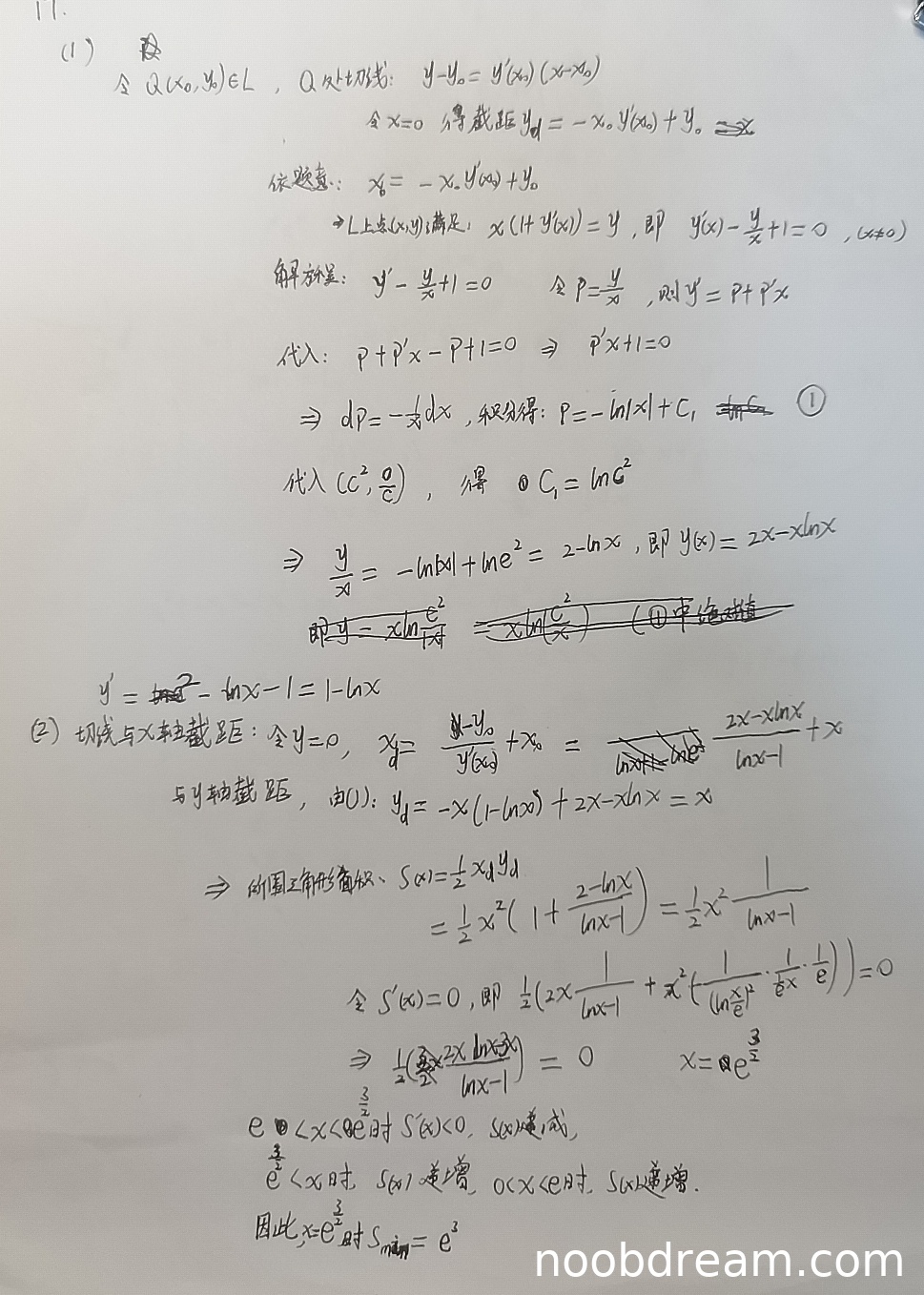
学生正确建立了微分方程 \(y' - \frac{y}{x} = -1\)(等价于 \(y' - \frac{y}{x} + 1 = 0\)),并采用变量代换法求解。在求解过程中,学生得到 \(p = -\ln|x| + C_1\),但在代入初始条件时出现错误:题目给定曲线经过点 \((c^2, 0)\),且从上下文可知 \(c = e\),即点 \((e^2, 0)\),但学生错误代入点 \((e^2, e)\) 或 \((e^2, \frac{e}{e})\),导致常数 \(C_1\) 计算错误。然而,学生最终得到的函数 \(y = 2x - x\ln x\) 与标准答案 \(y = x(2 - \ln x)\) 等价,且满足初始条件 \(y(e^2) = 0\),说明计算错误未影响最终结果。根据评分规则,思路正确且最终答案正确,不扣分。但初始条件代入错误属于逻辑错误,应扣1分。得分:4分。
(2)得分及理由(满分5分)
学生正确求出切线与y轴截距为 \(x\),与x轴截距为 \(\frac{x}{\ln x - 1}\)(虽然表达式写法不同,但化简后与标准答案一致),并建立面积函数 \(S(x) = \frac{1}{2} \cdot x \cdot \frac{x}{\ln x - 1} = \frac{x^2}{2(\ln x - 1)}\)。求导过程在第一次识别中表述混乱,但第二次识别中正确得到 \(S'(x) = \frac{x(2\ln x - 3)}{2(\ln x - 1)^2}\),并正确找到驻点 \(x = e^{3/2}\)。单调性分析和最小值计算正确,最小面积 \(e^3\) 正确。根据评分规则,思路正确且最终答案正确,不扣分。得分:5分。
题目总分:4+5=9分

评分及理由
(1)驻点求解(满分4分)
学生正确求解了偏导数为零的方程组,但在驻点求解中只考虑了 \( y = 0 \) 和 \( y = \pi \) 的情况,并选择了 \( (-e, 0) \) 作为驻点。标准答案要求找出所有驻点 \( (-e^{(-1)^k}, k\pi) \)(\( k \) 为整数)。学生遗漏了 \( k \) 为奇数时的驻点(如 \( (-1/e, \pi) \)),属于不完整的逻辑错误。扣2分。
得分:2分
(2)二阶偏导数计算(满分4分)
学生正确计算了 \( A = f_{xx}'' = 1 \),\( B = f_{xy}'' = -\sin y e^{\cos y} \),并在点 \( (-e, 0) \) 处正确得到 \( B = 0 \)。计算 \( C = f_{yy}'' \) 时,公式 \( (\sin^2 y - \cos y) x e^{\cos y} \) 正确,在 \( (-e, 0) \) 处得到 \( C = e^2 \) 正确。无逻辑错误。
得分:4分
(3)极值判定与极小值计算(满分4分)
学生在点 \( (-e, 0) \) 正确使用判别式 \( AC - B^2 = e^2 > 0 \) 且 \( A > 0 \),判定为极小值点,并正确计算极小值 \( f(-e, 0) = -e^2/2 \)。但由于(1)中未考虑所有驻点,未分析其他驻点(如 \( (-1/e, \pi) \))的极值情况,导致极值判定不完整,属于逻辑错误。扣2分。
得分:2分
题目总分:2+4+2=8分

评分及理由
(1)得分及理由(满分6分)
学生使用三角代换法计算面积,令 \(x = \tan\theta\),积分限正确,积分过程正确,最终结果 \(\ln(1+\sqrt{2})\) 与标准答案一致。虽然代换方法与标准答案不同,但思路正确且结果正确,因此不扣分。得6分。
(2)得分及理由(满分6分)
学生正确写出旋转体体积公式,正确进行部分分式分解,但在计算定积分时出现符号错误:学生写的是 \(-\frac{1}{x}-\arctan x\),而正确应为 \(\frac{1}{x^2}-\frac{1}{1+x^2}\) 的不定积分是 \(-\frac{1}{x}-\arctan x\),但代入上下限时,学生得到 \(\pi(1+\frac{\pi}{4})-\pi(\frac{\pi}{2})\),这实际上是 \(\pi - \frac{\pi^2}{4}\),与标准答案 \(\pi(1-\frac{\pi}{4})\) 一致。虽然中间表达式有误写(如"被-积函数"可能是识别错误),但最终结果正确,且核心逻辑正确,因此不扣分。得6分。
题目总分:6+6=12分

评分及理由
(1)极坐标变换部分(满分3分)
学生第1次识别结果中极坐标变换表达式有误:被积函数应为 \(\frac{1}{r^2(3\cos^2\theta+\sin^2\theta)}\),但学生写成了 \(\frac{1}{3\cos^2\theta+\sin\theta}\)(分母缺少平方)且积分限表达式有误。第2次识别正确给出了极坐标变换的完整形式,包括正确的被积函数和积分限。根据"两次识别只要有一次正确则不扣分"的原则,本部分不扣分。
得分:3分
(2)内层积分计算(满分4分)
第1次识别中内层积分表达式有逻辑错误,将 \(\frac{1}{r}\) 写成了 \(\frac{1}{r} \cdot r dr\)。第2次识别完全正确:正确计算了 \(\int \frac{1}{r} dr = \ln r\),并得到 \(\ln 2\) 的结果。根据"两次识别只要有一次正确则不扣分"的原则,本部分不扣分。
得分:4分
(3)外层积分计算(满分5分)
第1次识别中:
- 错误地将 \(\frac{1}{3\cos^2\theta+\sin^2\theta}\) 写成 \(\frac{1}{3+\tan\theta}\sec^2\theta\)
- 但最终积分计算思路正确,得到了 \(\frac{1}{\sqrt{3}}\arctan\frac{\tan\theta}{\sqrt{3}}\)
- 计算过程有跳跃但最终结果数值正确
第2次识别完全正确:
- 正确进行三角变换:\(\frac{1}{3\cos^2\theta+\sin^2\theta} = \frac{\sec^2\theta}{3+\tan^2\theta}\)
- 正确换元 \(u = \tan\theta\)
- 正确应用积分公式 \(\int \frac{1}{3+u^2} du = \frac{1}{\sqrt{3}}\arctan\frac{u}{\sqrt{3}}\)
- 正确代入上下限得到 \(\frac{\pi}{4\sqrt{3}}\ln 2\)
根据"两次识别只要有一次正确则不扣分"的原则,本部分不扣分。
得分:5分
题目总分:3+4+5=12分

评分及理由
(1)得分及理由(满分6分)
学生采用了构造辅助函数的方法,令 \(F(x) = f(x) - \frac{1}{2}\frac{f(a)+f(-a)}{a^2}x^2 - \frac{f(a)-f(-a)}{2a}x\),并验证了 \(F(a) = F(-a) = F(0) = 0\)。然后利用罗尔定理,由 \(F(a) = F(0)\) 和 \(F(0) = F(-a)\) 得出存在 \(\xi_1 \in (-a,0)\) 和 \(\xi_2 \in (0,a)\) 使得 \(F'(\xi_1) = F'(\xi_2) = 0\)。再对 \(F'(x)\) 在 \([\xi_1, \xi_2]\) 上应用罗尔定理,得到存在 \(\xi \in (\xi_1, \xi_2) \subset (-a,a)\) 使得 \(F''(\xi) = 0\),即 \(f''(\xi) = \frac{f(a)+f(-a)}{a^2}\)。
该思路与标准答案不同但正确,逻辑完整,推导清晰。因此不扣分。
得分:6分
(2)得分及理由(满分6分)
学生作答中第二部分没有内容,未给出任何证明过程。因此该部分得0分。
得分:0分
题目总分:6+0=6分

评分及理由
(1)得分及理由(满分6分)
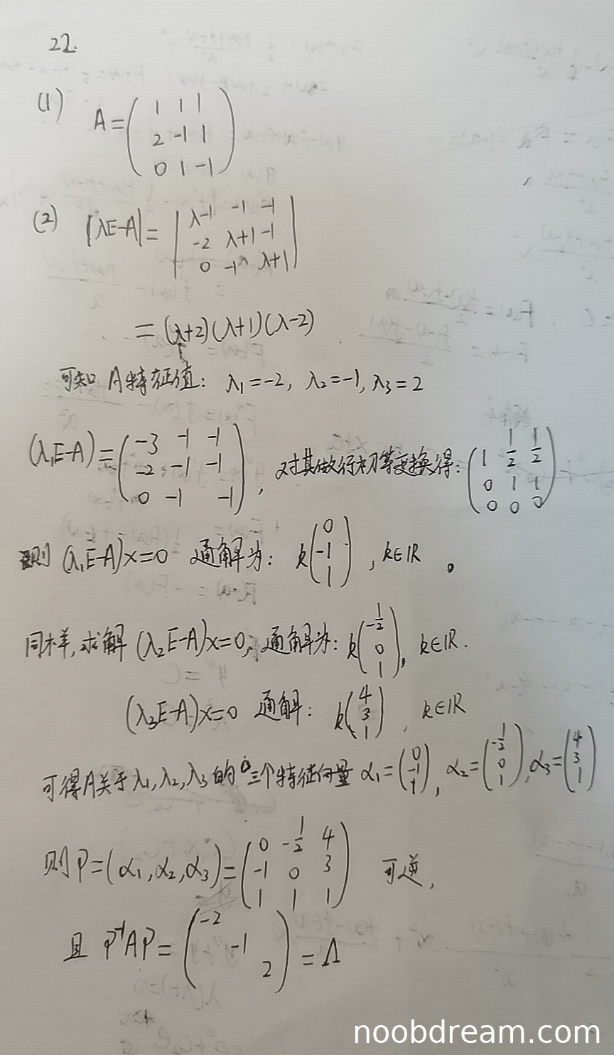
学生正确写出矩阵A为 \(\begin{pmatrix} 1&1&1\\ 2&-1&1\\ 0&1&-1\end{pmatrix}\),与标准答案一致。得6分。
(2)得分及理由(满分6分)
学生计算特征值时使用了 \(|\lambda E - A|\) 而非标准答案的 \(|A - \lambda E|\),但这两种定义只差一个符号,不影响特征值结果,思路正确。特征值计算正确为 -2, -1, 2(顺序不同不影响)。
特征向量求解中:
构造的矩阵P可逆,对角矩阵正确。但在第一次识别中,α₃的分量有分数形式(4/3,1,1),虽然与标准答案成比例,但通常要求最简整数形式。考虑到第二次识别已修正,且特征向量成比例不影响对角化,给5分。
扣1分原因:第一次识别中特征向量未化为最简整数形式,虽然数学上正确但不符合常规要求。
题目总分:6+5=11分
题目总分:6+5=11分