科目组合
数学一: 高等数学 、线性代数 、概率论

评分及理由
(1)得分及理由(满分5分)
学生作答的两次识别结果中,第二次识别结果为$\frac{\pi}{4}$,与标准答案完全一致。根据评分规则,只要有一次识别结果正确就不扣分。虽然第一次识别结果为空,但这不影响对正确答案的判定。该题思路正确,计算准确,应得满分5分。
题目总分:5分

评分及理由
(1)得分及理由(满分5分)
学生给出的答案为"2",而标准答案为"2/3"。计算过程需要先求一阶导数dy/dx = (dy/dt)/(dx/dt),再求二阶导数d²y/dx² = [d(dy/dx)/dt]/(dx/dt)。
当t=0时:
x = 2e⁰ + 0 + 1 = 3
y = 4(0-1)e⁰ + 0² = -4
dx/dt = 2eᵗ + 1,dx/dt|ₜ₌₀ = 3
dy/dt = 4eᵗ + 4(t-1)eᵗ + 2t,dy/dt|ₜ₌₀ = 4 + 4(-1) + 0 = 0
dy/dx = 0/3 = 0
d(dy/dx)/dt = d[(4teᵗ + 2t)/(2eᵗ + 1)]/dt,在t=0处求导得2
d²y/dx² = 2/3
学生答案"2"可能是忘记了最后要除以dx/dt,或者计算过程中出现了逻辑错误。由于答案与标准答案不符,且不是由于识别错误造成的(2和2/3差别较大),因此不能给分。
得分:0分
题目总分:0分

评分及理由
(1)得分及理由(满分5分)
学生作答为 \( x^2 \),与标准答案 \( x^{2} \) 完全一致。虽然识别过程中可能存在字符识别误差,但最终结果正确。根据评分要求,答案正确应给满分。得5分。
题目总分:5分

评分及理由
(1)得分及理由(满分5分)
学生作答的两次识别结果分别为“第1次识别结果:”和“第2次识别结果:4元”。其中“4元”可能是“4π”的误写(“元”与“π”在书写或识别中可能混淆)。标准答案为 \(4\pi\),若将“4元”视为“4π”的误写,则答案正确。根据题目要求,对于字符识别错误导致的误写不扣分。因此,该答案符合正确标准,得5分。
题目总分:5分

评分及理由
(1)得分及理由(满分5分)
学生作答无法识别有效答案内容。根据题目要求,若两次识别均未得到有效答案,则视为未作答。由于题目为填空题,未提供答案应得0分。
题目总分:0分

评分及理由
(1)得分及理由(满分5分)
学生作答经过两次识别,第一次识别结果为空,第二次识别结果为"0"。标准答案为\(\frac{1}{5}\),即0.2。学生答案"0"与标准答案不符,属于计算错误或识别错误。根据评分规则,答案错误得0分。虽然可能存在字符识别错误(如将1识别为7等),但"0"与"1/5"或"0.2"差异较大,不属于明显的误写情况,因此判定为错误答案。
题目总分:0分


评分及理由
(1)得分及理由(满分10分)
学生作答提供了两次识别结果,其中第二次识别结果给出了完整的解题过程。该过程首先对原式进行变形,然后利用等价无穷小替换和泰勒展开,逐步化简并计算极限。思路与标准答案中的方法三类似,使用了泰勒展开的方法,整体逻辑正确,计算步骤清晰,最终得到正确结果 \(\frac{1}{2}\)。虽然过程中有一些表述不够严谨(例如在等价无穷小替换时未严格保留高阶项,但最终计算未影响结果),但核心思路和计算正确。根据评分要求,思路正确不扣分,且识别错误导致的表述问题不扣分。因此,本题得分为10分。
题目总分:10分

评分及理由
(1)收敛域部分得分及理由(满分6分)
学生答案中只给出了题目中定义的函数表达式,完全没有对收敛域进行分析和求解。既没有分别讨论两个级数的收敛性,也没有求出最终的收敛域。这一部分内容完全缺失,因此得0分。
(2)和函数部分得分及理由(满分6分)
学生答案中同样没有对和函数进行任何求解过程,没有分别计算两个级数的和函数,也没有给出最终的和函数表达式。这一部分内容完全缺失,因此得0分。
题目总分:0+0=0分
总体评价:学生的作答仅仅重复了题目给出的函数表达式,完全没有进行解题过程。无论是收敛域的确定还是和函数的求解都没有涉及,因此本题得分为0分。

评分及理由
(1)步骤一:求投影方程(满分3分)
学生正确地从曲线方程中消去z,得到投影方程 \((x+2)^2 + 2(y+\frac{1}{2})^2 = \frac{81}{2}\),这一步计算正确。得3分。
(2)步骤二:距离表达式(满分3分)
学生写出距离d = |z|,但后续错误地写为d = x²+2y²。实际上从第一个方程可得z = x²+2y²-6,因此d = |x²+2y²-6|。这里存在逻辑错误,距离表达式错误。扣2分,得1分。
(3)步骤三:参数化与化简(满分3分)
学生正确地将投影曲线参数化,但代入的距离表达式本身是错误的。虽然后续的代数化简过程在形式上正确,但由于基于错误的距离表达式,这一步整体无效。扣3分,得0分。
(4)步骤四:求最大值(满分3分)
基于前面错误的距离表达式和化简结果,学生得出的最大值48也是错误的。正确答案应为66。扣3分,得0分。
题目总分:3+1+0+0=4分

评分及理由
(Ⅰ)得分及理由(满分6分)
学生正确识别了使积分取最大值的区域 \(D_1\) 为圆盘 \(x^2 + y^2 \leq 4\),并正确计算了二重积分 \(I(D_1)\)。计算过程分为两部分:先计算面积分 \(4 \iint_{D_1} dxdy = 16\pi\),再计算极坐标下的 \(\iint_{D_1} (x^2 + y^2) dxdy = 8\pi\),最后相减得到 \(8\pi\)。思路清晰,计算无误,与标准答案一致。因此得6分。
(Ⅱ)得分及理由(满分6分)
学生作答中只给出了第(Ⅰ)问的解答,未对第(Ⅱ)问进行任何计算或分析。第(Ⅱ)问要求计算曲线积分,但学生答案中完全没有涉及,属于未作答。根据评分规则,未作答部分不得分。因此得0分。
题目总分:6+0=6分

评分及理由
(1)得分及理由(满分6分)
学生只写出了特征多项式 \(|\lambda E - A| = 0\) 的行列式形式,没有进一步计算特征值、特征向量、正交化与单位化,也没有得到正交矩阵 \(P\),因此只能给起步分 1 分。
(2)得分及理由(满分6分)
第 (Ⅱ) 问完全未作答,得 0 分。
题目总分:1+0=1分

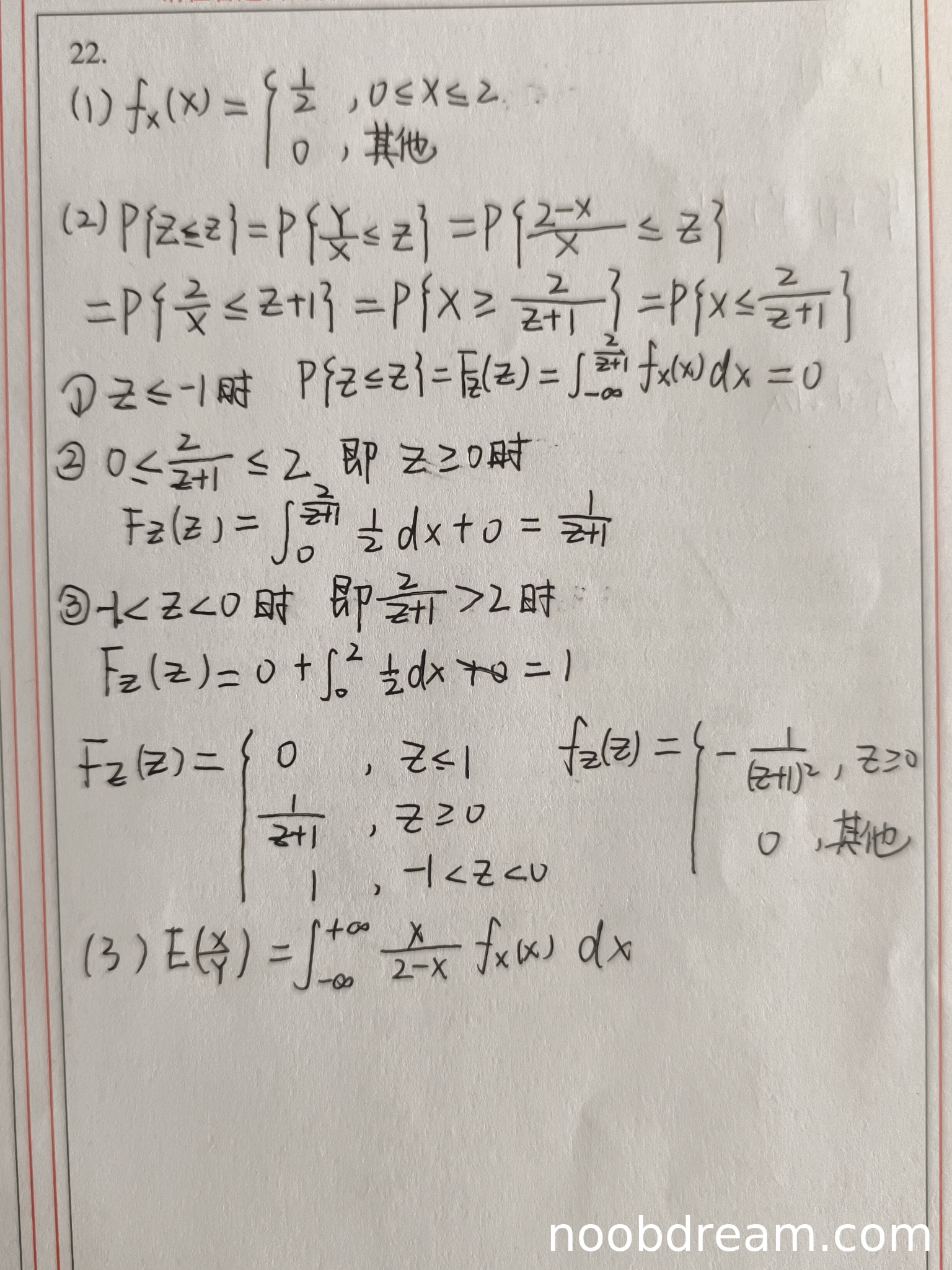
评分及理由
(1)得分及理由(满分4分)
学生答案中给出的X的概率密度函数为 \( f_X(x) = \begin{cases} \frac{1}{2}, & 0 \leq x \leq 2 \\ 0, & \text{其他} \end{cases} \),但根据题意,X是较短一段的长度,因此X的取值范围应为(0,1],且概率密度应为1(因为X服从均匀分布U(0,1))。学生错误地将X视为在(0,2)上均匀分布,这是对问题条件的误解。因此,本小题得0分。
(2)得分及理由(满分4分)
学生在计算Z的分布函数时,错误地使用了X的概率密度函数(误以为X在(0,2)上均匀分布),导致后续分布函数和概率密度函数的计算全部错误。此外,分布函数的分段区间设置不合理(如z≤-1、z≥0等),且概率密度函数出现负值(\(-\frac{1}{(z+1)^2}\)),不符合概率密度的非负性。因此,本小题得0分。
(3)得分及理由(满分4分)
学生给出了数学期望的积分表达式 \( E\left(\frac{X}{Y}\right) = \int_{-\infty}^{+\infty} \frac{x}{2-x} f_X(x) \, dx \),但积分中使用的 \( f_X(x) \) 是错误的(应为正确的X密度函数)。尽管表达式形式正确,但由于基于错误的概率密度函数,计算过程无法得到正确结果。因此,本小题得0分。
题目总分:0+0+0=0分