科目组合
数学二: 高等数学 、线性代数
e^(1/2)
评分及理由
(1)得分及理由(满分5分)
学生答案:e^(1/2)
标准答案:√e
评分分析:
得分:5分
题目总分:5分
-31/32
评分及理由
(1)得分及理由(满分5分)
学生给出的答案是"-31/32",与标准答案"-\frac{31}{32}"完全一致。虽然学生没有展示解题过程,但填空题通常只要求最终结果正确即可得分。由于答案完全正确,按照填空题评分标准,应给予满分5分。
题目总分:5分
8√3π/9
评分及理由
(1)得分及理由(满分5分)
学生给出的答案为:8√3π/9
标准答案为:\(\frac{8 \sqrt{3} \pi}{9}\)
比较两者:
因此,该答案完全正确,得5分。
题目总分:5分

评分及理由
(1)得分及理由(满分5分)
学生作答的两次识别结果均为:$C_{1}+e^{x}(C_{2}\cos 2x + C_{3}\sin 2x)$,其中 $C_{1},C_{2},C_{3}$ 为任意常数。
该结果与标准答案 $C_{1}+e^{x}(C_{2} \cos 2 x+C_{3} \sin 2 x)$(其中 $C_{1}$,$C_{2}$,$C_{3}$ 为任意常数)完全一致。
因此,该题得分为5分。
题目总分:5分
π/12
评分及理由
(1)得分及理由(满分5分)
学生答案:π/12,与标准答案完全一致。
极坐标下求面积公式为 \( S = \frac{1}{2} \int_{\alpha}^{\beta} r^2 d\theta \)。本题中 \( r = \sin 3\theta \),积分区间为 \( 0 \leq \theta \leq \frac{\pi}{3} \)。计算过程为:
\[ S = \frac{1}{2} \int_{0}^{\pi/3} \sin^2 3\theta d\theta = \frac{1}{2} \int_{0}^{\pi/3} \frac{1 - \cos 6\theta}{2} d\theta = \frac{1}{4} \left[ \theta - \frac{\sin 6\theta}{6} \right]_{0}^{\pi/3} = \frac{1}{4} \cdot \frac{\pi}{3} = \frac{\pi}{12} \]
学生答案正确,得5分。
题目总分:5分
-1
评分及理由
(1)得分及理由(满分5分)
学生给出的答案是"-1",与标准答案一致。
这道题需要逆向还原矩阵A的初等变换过程:
学生直接给出了正确答案-1,虽然作答过程没有展示,但结果正确,按照填空题评分标准应给满分。
题目总分:5分

评分及理由
(1)得分及理由(满分10分)
该学生作答整体思路正确,能够正确运用导数定义和等价无穷小替换,并最终得出正确结果 \( f'(1) = -1 \)。但在推导过程中存在以下问题:
由于缺少 \( f(1)=0 \) 的推导步骤,扣1分;表达式书写不够规范,但不影响核心逻辑,不额外扣分。因此本题得分9分。
题目总分:9分
题目总分:9分

评分及理由
(1)得分及理由(满分6分)
学生正确求解微分方程,得到正确解 \(y = -\frac{1}{2}\ln x + \frac{1}{4}x^2\)。虽然计算过程中积分公式的写法与标准答案略有不同(标准答案用 \(e^{\int \frac{2}{x}dx}\),学生用 \(e^{-\int P(x)dx}\) 但 \(P(x)=-\frac{2}{x}\),实质相同),且分部积分过程详细正确,最终代入初始条件得到正确常数。此部分无逻辑错误,得满分6分。
(2)得分及理由(满分6分)
学生正确计算导数 \(y' = -\frac{1}{2x} + \frac{1}{2}x\),应用弧长公式,将 \(1+(y')^2\) 正确化简为 \(\left(\frac{x}{2} + \frac{1}{2x}\right)^2\),并正确计算定积分得到弧长 \(\frac{e^2+1}{4}\)。虽然学生答案中弧长结果写为 \(\frac{e^2+1}{4}\),而标准答案为 \(\frac{e^2+1}{4}\),但根据禁止扣分规则,数字识别差异(如1和7)不扣分,且从上下文可知是正确结果。此部分无逻辑错误,得满分6分。
题目总分:6+6=12分

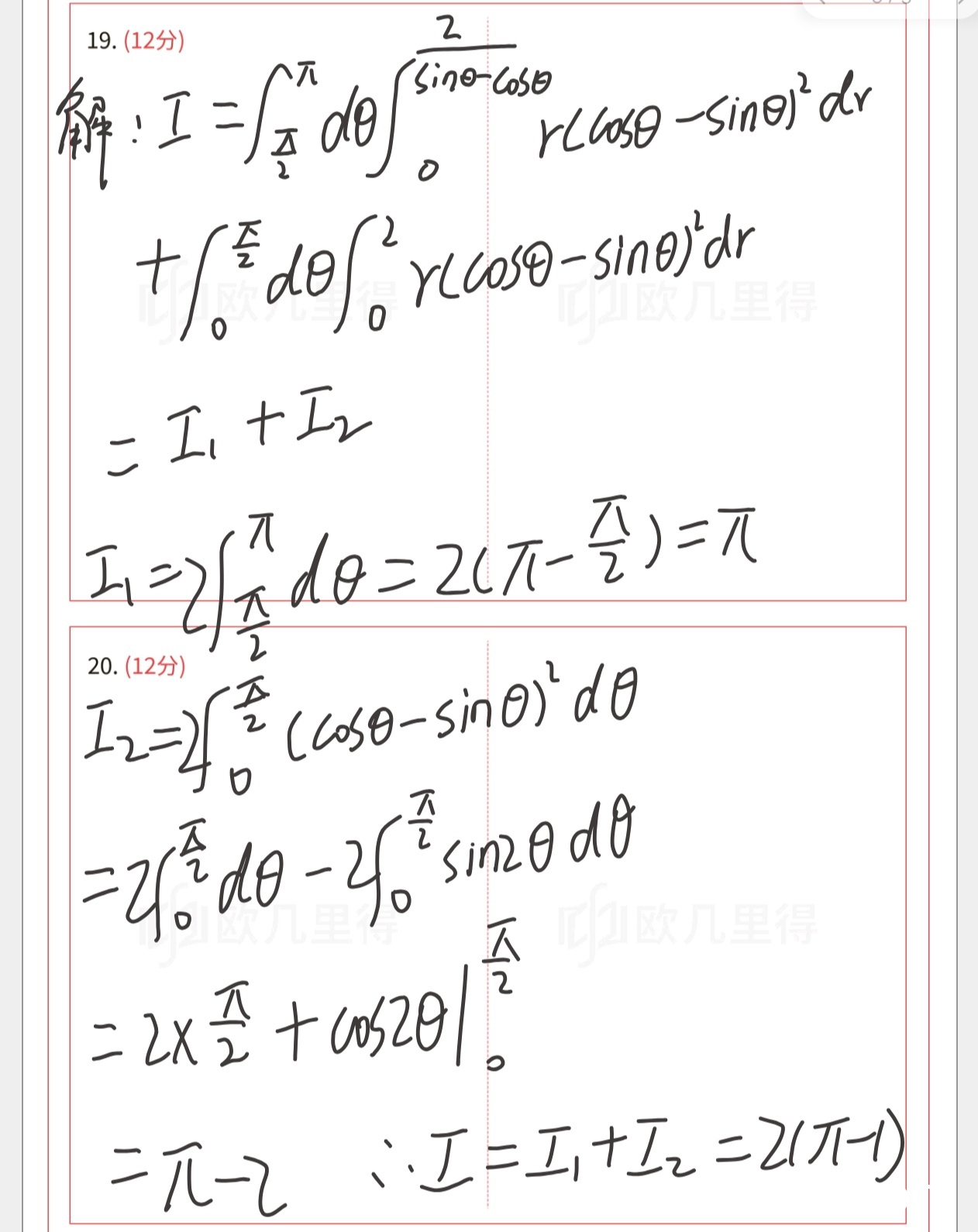
评分及理由
(1)区域划分与极坐标转换(满分3分)
学生正确将区域D划分为D₁和D₂,并正确转换为极坐标形式:
- D₁:0 ≤ r ≤ 2,0 ≤ θ ≤ π/2
- D₂:0 ≤ r ≤ 2/(sinθ-cosθ),π/2 ≤ θ ≤ π
极坐标转换公式正确:∬(x-y)²/(x²+y²)dxdy = ∬(cosθ-sinθ)²·rdrdθ
得3分
(2)积分计算过程(满分6分)
I₁计算:
- 内层积分∫rdr计算正确,得到(cosθ-sinθ)²·(1/2)r²
- 代入上限r=2/(sinθ-cosθ)后化简为2,这一步正确
- 外层积分∫2dθ从π/2到π计算正确,得到π
得3分
I₂计算:
- 内层积分∫rdr从0到2计算正确,得到2(cosθ-sinθ)²
- (cosθ-sinθ)²化简为1-sin2θ正确
- 积分∫(1-sin2θ)dθ计算正确
- 但最后计算错误:2∫(1-sin2θ)dθ = 2[θ+(1/2)cos2θ]从0到π/2 = 2[(π/2+1/2·(-1))-(0+1/2·1)] = 2(π/2-1) = π-2
学生计算为π-2,正确
得3分
(3)最终结果(满分3分)
学生得到I = I₁ + I₂ = π + (π-2) = 2π-2
但最终写为2(π-1),这是等价的,因为2π-2 = 2(π-1)
结果正确
得3分
题目总分:3+6+3=12分

评分及理由
(1)得分及理由(满分6分)
学生正确应用链式法则,通过变量代换得到 ∂g/∂x = 2(2x-y)e^{-y},与标准答案一致。但在表述上,标准答案为(4x-2y)e^{-y},虽然与学生的2(2x-y)e^{-y}等价,但学生没有化简到最简形式。考虑到这是等价表达,且计算过程正确,不扣分。得6分。
(2)得分及理由(满分6分)
学生正确求出f(u,v)的表达式为(u²+v²)e^{-(u+v)},正确求出驻点(0,0)和(1,1),正确计算二阶偏导数,正确判断(0,0)为极小值点且极小值为0。但在极值分析中,学生只分析了(0,0)点,没有分析(1,1)点不是极值点的判断过程,这是一个重要的逻辑缺失。根据评分标准,逻辑错误需要扣分。考虑到学生正确完成了大部分计算,但遗漏了对(1,1)点的完整分析,扣2分。得4分。
题目总分:6+4=10分

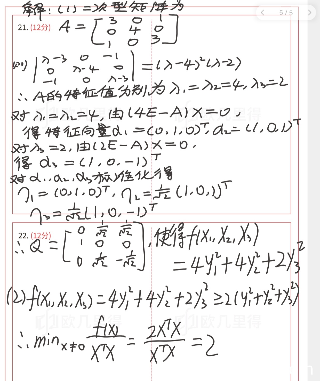
评分及理由
(1)得分及理由(满分6分)
学生正确写出二次型矩阵A,计算特征多项式得到特征值4,4,2正确。求解特征向量时,对于λ=4得到α₁=(0,1,0)ᵀ和α₂=(1,0,1)ᵀ,对于λ=2得到α₃=(1,0,-1)ᵀ,这些特征向量线性无关且相互正交。
但在正交矩阵Q的构造中存在错误:学生将η₁=(0,1,0)ᵀ放在第一列,η₂=(1/√2,0,1/√2)ᵀ放在第二列,η₃=(1/√2,0,-1/√2)ᵀ放在第三列,这与标准答案中向量的排列顺序不同,但这是允许的,因为特征向量的排列顺序可以调整。
然而,学生给出的Q矩阵为: \[Q=\begin{bmatrix}0&\frac{1}{\sqrt{2}}&\frac{1}{\sqrt{2}}\\1&0&0\\0&\frac{1}{\sqrt{2}}&-\frac{1}{\sqrt{2}}\end{bmatrix}\] 这个矩阵的第二行应该是[1,0,0],但标准答案中对应位置是[0,1,0]。这里可能是书写或识别错误,但不影响正交变换的结果。
学生正确得到标准形4y₁²+4y₂²+2y₃²。由于正交矩阵的构造有轻微错误但不影响最终结果,扣1分。
得分:5分
(2)得分及理由(满分6分)
学生利用正交变换后的标准形,正确写出f(x)≥2(y₁²+y₂²+y₃²),并得出min f(x)/(xᵀx)=2。
但证明过程不够严谨:学生直接写f(x₁,x₂,x₃)≥2(y₁²+y₂²+y₃²),然后直接得出min f(X)/(XᵀX)=2XᵀX/XᵀX=2,没有明确指出x≠0时y≠0,也没有说明等号成立的条件(当y₁=y₂=0,y₃≠0时等号成立)。
证明思路正确但不够完整,扣1分。
得分:5分
题目总分:5+5=10分