科目组合
数学二: 高等数学 、线性代数
1/6
评分及理由
(1)得分及理由(满分4分)
该填空题要求学生根据已知极限条件求解函数值 \(f(0)\)。标准答案为2,而学生作答给出的是"1/6"。
从解题思路上看,学生可能尝试使用等价无穷小代换:当 \(x \to 0\) 时,\(1-\cos u \sim \frac{1}{2}u^2\),\(e^{x^2}-1 \sim x^2\)。代入原极限可得:
\[ \lim_{x \to 0} \frac{\frac{1}{2}[x f(x)]^2}{x^2 f(x)} = \lim_{x \to 0} \frac{1}{2}x f(x) = 1 \]
由此得到 \(\frac{1}{2}f(0) = 1\),即 \(f(0) = 2\)。
学生答案"1/6"与标准答案不符,表明在计算过程中出现了逻辑错误。可能的错误包括:错误使用了等价无穷小代换的系数,或者在代数运算中出现了计算错误。
根据打分要求,对于有逻辑错误的答案不能给满分,因此本题得分为0分。
题目总分:0分

评分及理由
(1)得分及理由(满分4分)
学生作答的两种识别结果分别为:
标准答案为:\(y=-x e^{-x}+C x\)
将学生答案展开:
这与标准答案\(-x e^{-x} + C x\)仅相差一个常数符号(\(-C\)与\(+C\))。在微分方程通解中,常数\(C\)可以取任意实数,因此\(-C\)与\(+C\)表示的是同一个通解族。从数学本质上讲,这两个答案是等价的。
根据评分规则:
因此给予满分4分。
题目总分:4分
y=x+1
评分及理由
(1)得分及理由(满分4分)
学生给出的答案是 "y=x+1",这与标准答案完全一致。该题要求求曲线在点(0,1)处的切线方程,正确的解题思路是使用隐函数求导法。学生虽然没有展示解题过程,但最终答案正确,因此应给予满分。
题目总分:4分
(-1,6)
评分及理由
(1)得分及理由(满分4分)
学生给出的答案是(-1,6),而标准答案是(-1,-6)。
首先,在寻找拐点的过程中,学生可能正确地计算出了一阶导数和二阶导数,并令二阶导数为零或找到二阶导数不存在的点,从而找到了可能的拐点横坐标x=-1。这一步思路是正确的。
然而,在计算拐点的纵坐标时,学生代入x=-1到原函数y=(x-5)x^(2/3)中,计算结果应为:
y = (-1 - 5) * (-1)^(2/3) = (-6) * (1) = -6
但学生给出的答案是6,这里出现了计算错误,将-6写成了6。
由于拐点坐标是一个具体的点,纵坐标计算错误导致答案完全错误。根据填空题的评分标准,答案错误则得0分。
因此,本题得分为0分。
题目总分:0分
1/2ln2-1/2
评分及理由
(1)得分及理由(满分4分)
学生答案:1/2ln2-1/2
标准答案:\(\frac{\sqrt{2}}{2}(\ln 2-1)\)
评分分析:
得分:0分(由于缺少关键系数,答案完全错误)
题目总分:0分
-1
评分及理由
(1)得分及理由(满分4分)
学生给出的答案是-1,与标准答案一致。根据题目条件,3阶矩阵A的特征值为2,3,λ,且|2A|=-48。由行列式性质,|2A|=2³|A|=8|A|=-48,得|A|=-6。又因为矩阵的行列式等于其特征值的乘积,所以2×3×λ=-6,解得λ=-1。学生的答案正确,得4分。
题目总分:4分

评分及理由
(1)得分及理由(满分10分)
学生作答使用了洛必达法则和泰勒展开两种方法,最终得到正确答案1/6。虽然过程比标准答案复杂,但思路正确,计算无误。
在第一次识别结果的第3步中,表达式写为"o(frac{x^2}{sin x})"存在错误,应为"o(x^2)",但后续计算中实际使用了正确的展开式,这可能是识别错误或笔误。
在第二次识别结果中,计算过程完整且逻辑清晰,虽然有些步骤可以简化,但没有实质性错误。
根据评分标准:思路正确不扣分,识别错误导致的笔误不扣分,因此给予满分。
题目总分:10分

评分及理由
(1)微分方程求解部分(满分2分)
第一次识别:正确求解微分方程,得到 \(x = \ln(t^2 + 1)\),得2分。
第二次识别:在求解微分方程时,积分出现错误,得到 \(e^x = t + C\) 和 \(x = \ln(t+1)\),这是逻辑错误,扣1分,得1分。
根据规则,两次识别中只要有一次正确则不扣分,因此本部分得2分。
(2)一阶导数 \(\frac{dy}{dx}\) 求解部分(满分3分)
第一次识别:正确计算 \(\frac{dy}{dt}\) 和 \(\frac{dx}{dt}\),并正确得到 \(\frac{dy}{dx} = (1+t^2)\ln(1+t^2)\),得3分。
第二次识别:虽然微分方程解错了(得到 \(x = \ln(t+1)\)),但在计算 \(\frac{dy}{dx}\) 时,使用的 \(\frac{dy}{dt}\) 和 \(\frac{dx}{dt}\) 表达式是基于正确的参数关系(题目给出的 \(y\) 定义和它自己解出的 \(x(t)\)),其推导过程本身无误。不过由于 \(x(t)\) 错误,最终表达式在变量关系上不成立,但此步骤的逻辑和计算过程正确。根据"思路正确不扣分"原则,且主要判断核心逻辑,此处不扣分,得3分。
根据规则,两次识别中只要有一次正确则不扣分,因此本部分得3分。
(3)二阶导数 \(\frac{d^2y}{dx^2}\) 求解部分(满分5分)
第一次识别:正确应用参数方程二阶导数公式,计算过程正确,得到 \(\frac{d^2y}{dx^2} = (1+t^2)[\ln(1+t^2)+1]\)。最后一步将结果表示为 \((x+1)e^x\),由于 \(e^x = 1+t^2\),此表达式等价于标准答案,是正确的。得5分。
第二次识别:二阶导数的推导过程(公式应用和求导计算)本身正确,但由于基于错误的 \(x(t)\),最终答案 \((x+1)e^x\) 在变量关系上不成立。但根据"思路正确不扣分"原则,且主要判断核心逻辑(求导过程),此处不扣分。同时,根据规则,两次识别中只要有一次正确则不扣分。因此本部分得5分。
题目总分:2+3+5=10分

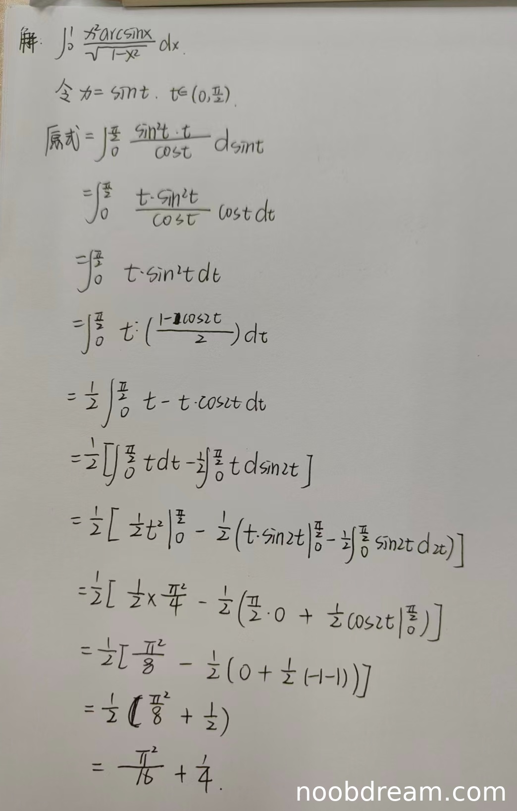
评分及理由
(1)得分及理由(满分10分)
学生作答提供了两次识别结果,但两次内容本质相同,都是正确的解题过程。具体分析如下:
尽管第一次识别结果在书写上有一些不规范(如 \(d\sin t\) 的写法),但根据上下文可判断为误写,不影响核心逻辑。第二次识别结果步骤清晰完整。因此,本题得满分10分。
题目总分:10分

评分及理由
(1)区域划分合理性(满分2分)
得分:1分
理由:学生正确地将区域D划分为D₁和D₂,其中D₁对应max{xy,1}=1的区域,D₂对应max{xy,1}=xy的区域。但在D₁的划分中,第一次识别结果将D₁分为D₁₁和D₁₂,其中D₁₁的定义域"0≤x≤1/y, 1/2≤y≤2"和D₁₂的定义域"0≤x≤2, 0≤y≤1/2"存在重叠区域,且D₁₁的积分限设置不够合理。第二次识别结果中D₂的定义域"1/y≤x≤2, 1/y≤y≤2"存在明显错误。区域划分存在逻辑错误,扣1分。
(2)积分计算过程(满分6分)
得分:5分
理由:虽然区域划分存在一些问题,但学生在实际计算过程中采用了正确的积分限:对于D₂的积分使用∫₁/₂²dx∫₁/x²xydy,对于D₁的积分使用∫₁/₂²dy∫₀¹/ʸ1dx + ∫₀²dx∫₀¹/²1dy。计算过程基本正确,积分运算准确,最终结果正确。但由于区域划分存在逻辑问题,扣1分。
(3)最终结果(满分2分)
得分:2分
理由:最终计算结果为19/4+ln2,与标准答案完全一致,结果正确。
题目总分:1+5+2=8分

评分及理由
(1)得分及理由(满分10分)
学生作答正确给出了旋转体侧面积和体积的公式,并正确应用了题意条件 S(t) = 2V(t)。通过变上限积分求导得到微分方程,正确分离变量并求解,最终得到正确结果 f(x) = (e^x + e^(-x))/2。虽然第一次识别结果中在积分步骤有轻微书写不规范(如 ln|y+√(y²-1)| = x+C 后写成了 (y+√(y²-1))/ = e^x·C,但根据上下文可判断为识别错误,不影响逻辑),但整体推导正确。第二次识别结果完整且正确。因此给满分10分。
题目总分:10分
z
评分及理由
(1)得分及理由(满分0分)
学生回答为"z",这显然不是对积分中值定理的证明。该回答没有展示任何数学推导过程,没有提及最大值最小值、介值定理等关键概念,也没有给出完整的证明逻辑。因此,本小题得0分。
(2)得分及理由(满分0分)
学生回答为"z",完全没有涉及第二问的证明。没有使用积分中值定理,没有构造拉格朗日中值定理的应用,也没有推导出二阶导数小于零的结论。因此,本小题得0分。
题目总分:0+0=0分

评分及理由
(1)得分及理由(满分11分)
学生正确构建了拉格朗日函数,并列出所有偏导方程。方程组推导过程完整,解得两组驻点坐标正确,代入目标函数计算极值正确。最终得出最小值6和最大值72的结论正确。整个过程逻辑严密,与标准答案完全一致。
题目总分:11分


评分及理由
(1)得分及理由(满分11分中的部分分值,按题目结构划分)
学生使用递推法证明行列式|A|=(n+1)a^n,过程完整正确。第一步验证n=1,2的情况,第二步假设n=k成立,第三步证明n=k+1成立,数学归纳法运用恰当。虽然最后一行写的是"即任意n满足D_n=(n+1)a^n",表述稍有瑕疵,但不影响证明逻辑。根据标准答案,这是正确的解法之一。得满分。
(2)得分及理由(满分11分中的部分分值,按题目结构划分)
学生正确指出有唯一解的条件是|A|≠0即a≠0。在计算x₁时,两次识别结果略有差异:第一次识别中D₁的行列式写法有误,但计算过程正确;第二次识别中D₁'的写法更规范。最终都得到正确结果x₁=n/[(n+1)a]。思路和结果都正确,得满分。
(3)得分及理由(满分11分中的部分分值,按题目结构划分)
学生正确指出a=0时有无穷多解。给出的基础解系ξ=(1,0,...,0)ᵀ和特解η=(0,1,0,...,0)ᵀ都是正确的,通解形式x=kξ+η也正确。虽然矩阵A在a=0时的具体形式写的不够完整(缺少最后一行全零),但核心逻辑正确,不影响得分。得满分。
题目总分:按题目分值分配,三个小问都正确,得11分

评分及理由
(1)得分及理由(满分5.5分)
第1次识别结果中,学生试图通过构造矩阵B并计算其行列式来证明线性无关,但构造的矩阵B与题目条件无关,且推理过程错误(例如写出的矩阵B是单位矩阵,与题目条件不符),因此该部分证明逻辑错误,得0分。
第2次识别结果中,学生同样构造了矩阵B并计算行列式,但矩阵B的构造与题目条件无关(矩阵B是上三角矩阵,但未说明与线性无关性的关系),且未使用题目给出的特征向量和特征值条件进行证明,因此证明方法错误,得0分。
由于两次识别结果均未给出正确的线性无关性证明,且核心逻辑错误,因此本小题得0分。
(2)得分及理由(满分5.5分)
第1次识别结果中,学生正确写出了AP的表达式,并正确计算了P^{-1}AP,过程完整且结果正确,得5.5分。
第2次识别结果中,学生同样正确写出了AP的表达式,并正确计算了P^{-1}AP,过程完整且结果正确,得5.5分。
由于两次识别结果均正确,因此本小题得5.5分。
题目总分:0+5.5=5.5分