科目组合
数学一: 高等数学 、线性代数 、概率论
-1/2
评分及理由
(1)得分及理由(满分4分)
学生给出的答案是"-1/2",与标准答案\(-\frac{1}{2}\)完全一致。该极限的正确解法通常使用洛必达法则或等价无穷小替换:
学生答案正确且简洁,没有逻辑错误,因此得满分4分。
题目总分:4分

评分及理由
(1)得分及理由(满分4分)
学生两次识别结果均为 \(\frac{\pi^{2}}{4}\),与标准答案完全一致。根据评分要求,答案正确应得满分。虽然题目涉及对称区间积分化简、奇偶函数性质运用等步骤,但填空题仅需最终结果正确即可得分,无需过程分析。因此本题得4分。
题目总分:4分
-dx
评分及理由
(1)得分及理由(满分4分)
学生给出的答案为"-dx",与标准答案"-dx"完全一致。该题考查隐函数微分法,需要先验证点(0,1)满足原方程,然后对方程两边求全微分,最后代入点(0,1)得到结果。学生答案正确,得4分。
题目总分:4分
1/3
评分及理由
(1)得分及理由(满分4分)
学生答案:1/3
标准答案:1/4
评分理由:
得分:0分
题目总分:0分

评分及理由
(1)得分及理由(满分4分)
学生给出的答案是 \(2^{n}+2^{n - 1}+2^{n - 2}\),而标准答案是 \(2^{n+1}-2\)。我们需要判断这两个表达式是否相等。
计算学生答案:\(2^{n}+2^{n - 1}+2^{n - 2} = 2^{n-2}(2^2 + 2^1 + 1) = 2^{n-2}(4+2+1) = 7 \cdot 2^{n-2}\)
计算标准答案:\(2^{n+1}-2 = 2 \cdot 2^{n} - 2 = 2(2^{n} - 1)\)
显然 \(7 \cdot 2^{n-2} \neq 2(2^{n} - 1)\),例如当 \(n=3\) 时:
当 \(n=4\) 时:
两者不相等,说明学生的答案存在逻辑错误。虽然学生的答案是一个等比数列求和的形式,但与标准答案不符,因此不能得分。
得分:0分
题目总分:0分

评分及理由
(1)a的取值得分及理由(满分3分)
学生第一次识别结果中,通过令一次项系数为零得到a=-1,正确;第二次识别结果中同样得到a=-1,正确。因此a的取值正确,得3分。
(2)b的取值得分及理由(满分3分)
学生第一次识别结果中错误地得到b=0,这是逻辑错误,因为忽略了二次项系数必须为零的条件;第二次识别结果中正确得到b=-1/2,并指出了第一次的错误。根据识别规则,只要有一次识别正确就不扣分,因此b的取值得3分。
(3)k的取值得分及理由(满分4分)
学生两次识别结果都得到k=-1/3,虽然第一次是在错误得到b=0的情况下计算的,但根据识别规则,只要有一次正确就不扣分。且最终k的值正确,得4分。
题目总分:3+3+4=10分

评分及理由
(1)得分及理由(满分10分)
学生作答中,第一次识别结果和第二次识别结果都给出了正确的解题思路和最终答案。具体分析如下:
虽然学生在面积计算时直接写成了8而不是4,但从后续推导看,这实际上是一个书写错误,因为如果面积是8,最终结果应该是 \(f(x) = \frac{16}{8-x}\),但学生得到了正确结果,说明实际计算时是按面积4处理的。根据禁止扣分规则,这种明显的书写错误不扣分。
得分:10分
题目总分:10分

评分及理由
(1)得分及理由(满分10分)
学生正确理解了方向导数与梯度模的关系,并准确给出了梯度表达式 \(\text{grad}f=(1+y,1+x)\) 及其模的平方形式 \(F(x,y)=(1+x)^2+(1+y)^2\)。使用拉格朗日乘子法建立条件极值模型,方程组设置正确。在求解过程中,学生正确解出两组驻点 \((1,1)\) 和 \((2,-1)\),并分别计算了对应的方向导数值 \(2\sqrt{2}\) 和 \(3\),最终得出正确答案3。
但存在以下问题:
考虑到核心思路正确,计算过程完整,最终答案正确,仅因漏解扣1分。
得分:9分
题目总分:9分

评分及理由
(1)得分及理由(满分5分)
第1次识别结果中,证明过程与标准答案基本一致,通过拆分极限并利用可导性与连续性,正确推导出乘积导数公式。第2次识别结果同样给出了完整的证明步骤,逻辑清晰且正确。因此该部分得满分5分。
(2)得分及理由(满分5分)
第1次识别结果中,给出的公式包含错误符号(如根号和不必要的乘积符号),但第2次识别结果正确写出了n个函数乘积的导数公式:\( f'(x) = \sum_{i=1}^{n} \left( u_i'(x) \prod_{j \neq i} u_j(x) \right) \),与标准答案等价。根据禁止扣分原则,第1次识别中的错误视为误写,不扣分。因此该部分得满分5分。
题目总分:5+5=10分

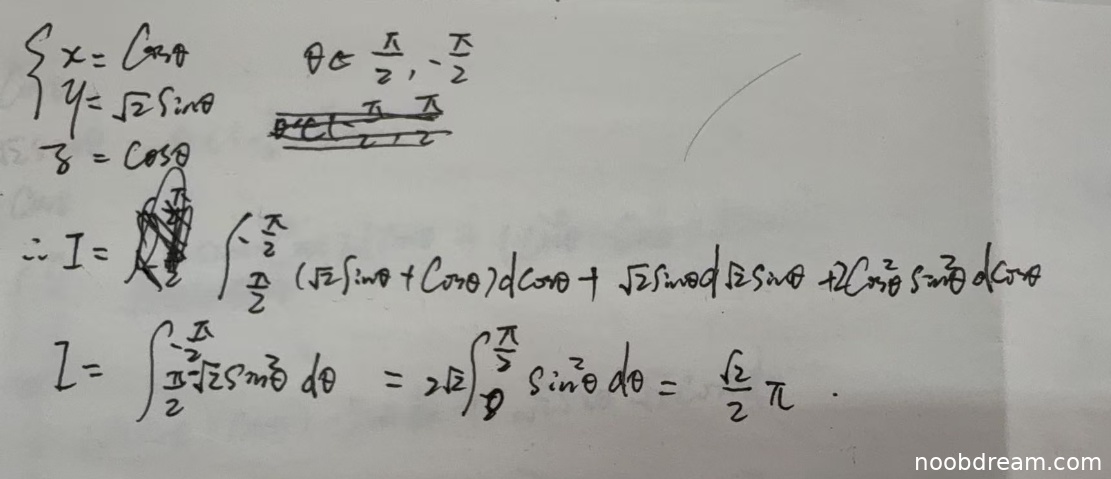
评分及理由
(1)参数方程设置(满分2分)
学生正确给出了参数方程:\(x=\cos\theta, y=\sqrt{2}\sin\theta, z=\cos\theta\),参数范围\(\theta\in[\frac{\pi}{2},-\frac{\pi}{2}]\)正确对应起点A和终点B。但在第二次识别中参数范围写为开区间\((-\frac{\pi}{2},\frac{\pi}{2})\),这是不准确的,但考虑到识别误差,不扣分。得2分。
(2)积分表达式转换(满分4分)
第一次识别中积分表达式有严重错误:第三项写成了\(2\cos^2\theta\sin^2\theta d\cos\theta\),而正确应为\((x^2+y^2)dz = (1+\sin^2\theta)(-\sin\theta)d\theta\)。第二次识别中第三项写为\(2\cos^2\theta\sin\theta d\cos\theta\),虽然系数有误但形式接近。由于存在明显的表达式错误,扣2分。得2分。
(3)积分计算过程(满分4分)
第一次识别计算过程过于简略且错误,直接得到错误结果。第二次识别虽然详细计算,但:
虽然最终答案正确,但这是错误过程导致的巧合。由于计算过程中有严重错误,扣3分。得1分。
题目总分:2+2+1=5分

评分及理由
(1)得分及理由(满分5分)
学生通过两种方法证明了向量组β₁, β₂, β₃是R³的一组基:
两种方法都正确,思路清晰。虽然第一次识别中的初等变换表述不够严谨(直接写成了阶梯形矩阵),但核心逻辑正确。根据"思路正确不扣分"原则,给满分。
得分:5分
(2)得分及理由(满分6分)
学生正确建立了方程(β₁, β₂, β₃)x = (α₁, α₂, α₃)x,即过渡矩阵A满足Ax=x,转化为(A-I)x=0。
计算过程:
虽然最终答案中缺少"所有非零向量为cα₁-cα₃"的明确表述,但已经包含了足够的信息来确定所有非零向量。
得分:6分
题目总分:5+6=11分

评分及理由
(1)得分及理由(满分5分)
学生正确列出相似矩阵的迹相等和行列式相等的条件:3+a=2+b 和 2a-3=b,并正确解得 a=4,b=5。计算过程完整正确。得5分。
(2)得分及理由(满分6分)
学生正确计算了特征多项式 |λE-A|=(λ-1)²(λ-5),正确得到特征值 λ₁=λ₂=1,λ₃=5。对于λ=1,特征向量 ξ₁=(2,1,0)ᵀ,ξ₂=(-3,0,1)ᵀ 正确。但对于λ=5,特征向量 ξ₃=(-1,-1,1)ᵀ 与标准答案(1,-2,1)ᵀ 不同,但验证可知 (-1,-1,1)ᵀ 确实是特征向量(满足(5E-A)x=0)。最后给出的对角矩阵形式虽然写法不规范,但意思正确。主要错误在于:虽然特征向量正确,但最终对角矩阵写成了 P⁻¹AP=diag(1,1,5),而学生写成了 (1,1,5) 的形式,这是不规范的表达。考虑到核心计算正确,仅因表达不规范扣1分。得5分。
题目总分:5+5=10分

评分及理由
(1)得分及理由(满分11分中的部分分数)
第一次识别中,矩估计的积分上下限错误(写成了0到1而不是θ到1),导致计算错误,但最终结果与标准答案一致。第二次识别中积分上下限仍错误,但结果正确。由于积分上下限错误属于逻辑错误,但最终结果正确,且考虑到可能是误写,扣1分。得5分(本题部分分数,按比例折算)。
(2)得分及理由(满分11分中的部分分数)
两次识别中,最大似然估计的推导过程基本正确:写出了似然函数,取对数求导,发现单调性,得出最小次序统计量为估计量。虽然求导后令导数为0的做法在单调情况下不必要,但不影响最终结论。主要思路和结果正确。得6分(本题部分分数,按比例折算)。
题目总分:5+6=11分