科目组合
数学三: 高等数学 、线性代数 、概率论
y=4x+3
评分及理由
(1)得分及理由(满分4分)
学生给出的答案是 \(y=4x+3\)。题目要求求曲线 \(f(x)=x^{2}+2 \ln x\) 在其拐点处的切线方程。正确的解题步骤是:先求定义域 \((0, +\infty)\),然后求二阶导数 \(f''(x) = 2 - \frac{2}{x^2}\),令其为零解得 \(x=1\)(舍去 \(x=-1\) 不在定义域内)。验证 \(x=1\) 两侧 \(f''(x)\) 变号,故拐点为 \((1, f(1)) = (1, 1)\)。再求一阶导数 \(f'(x) = 2x + \frac{2}{x}\),在 \(x=1\) 处斜率为 \(f'(1)=4\)。因此切线方程为 \(y - 1 = 4(x - 1)\),即 \(y = 4x - 3\)。
学生答案 \(y=4x+3\) 的斜率正确,但常数项错误。这表明学生可能正确计算了导数和拐点横坐标,但在求拐点纵坐标或代入点斜式时出现计算错误(例如将 \(f(1)\) 算错,或点斜式计算错误)。由于最终答案与标准答案不完全一致,且填空题只看最终结果,因此本题不能给分。
得分:0分。
题目总分:0分
2e
评分及理由
(1)得分及理由(满分4分)
学生给出的答案为“2e”,这与标准答案“2e”完全一致。题目所给条件 \(f(x+\Delta x)-f(x)=2 x f(x) \Delta x+o(\Delta x)\) 表明 \(f'(x) = 2x f(x)\),这是一个可分离变量的微分方程,结合初始条件 \(f(0)=2\),解得 \(f(x) = 2e^{x^2}\),因此 \(f(1)=2e\)。学生答案正确,得满分。
题目总分:4分
2
评分及理由
(1)得分及理由(满分4分)
学生给出的答案为“2”。该答案与标准答案完全一致。
题目给出了矩阵A在线性无关向量组 \(\alpha_1, \alpha_2, \alpha_3\) 下的作用关系,这相当于给出了A在该基下的表示矩阵。设 \(P = (\alpha_1, \alpha_2, \alpha_3)\),则有 \(AP = P \begin{pmatrix} 2 & 0 & 0 \\ 1 & 1 & -1 \\ 1 & 2 & 1 \end{pmatrix}\)。因此,矩阵 \(B = \begin{pmatrix} 2 & 0 & 0 \\ 1 & 1 & -1 \\ 1 & 2 & 1 \end{pmatrix}\) 与A相似,它们具有相同的特征值。计算矩阵B的特征多项式或直接观察,可以发现其特征值为2(实特征值)和一对共轭复根。学生直接给出了正确的实特征值2,答案正确。
因此,本题得分为4分。
题目总分:4分
1/3
评分及理由
(1)得分及理由(满分4分)
学生给出的答案为“1/3”,与标准答案 \(\frac{1}{3}\) 完全一致。
根据题意,事件 A、B、C 相互独立,且 \(P(A)=P(B)=P(C)=\frac{1}{2}\),要求计算条件概率 \(P(AC | A \cup B)\)。正确的计算过程如下:
由条件概率公式:\(P(AC | A \cup B) = \frac{P(AC \cap (A \cup B))}{P(A \cup B)}\)。
由于 \(AC \cap (A \cup B) = AC\)(因为 \(AC\) 发生必然意味着 \(A\) 发生,从而 \(A \cup B\) 发生),所以分子为 \(P(AC)\)。
由独立性,\(P(AC) = P(A)P(C) = \frac{1}{2} \times \frac{1}{2} = \frac{1}{4}\)。
计算分母:\(P(A \cup B) = P(A) + P(B) - P(AB) = \frac{1}{2} + \frac{1}{2} - \frac{1}{4} = \frac{3}{4}\)。
因此,\(P(AC | A \cup B) = \frac{1/4}{3/4} = \frac{1}{3}\)。
学生答案正确,且没有逻辑错误或额外错误表述,因此得满分4分。
题目总分:4分

评分及理由
(1)得分及理由(满分10分)
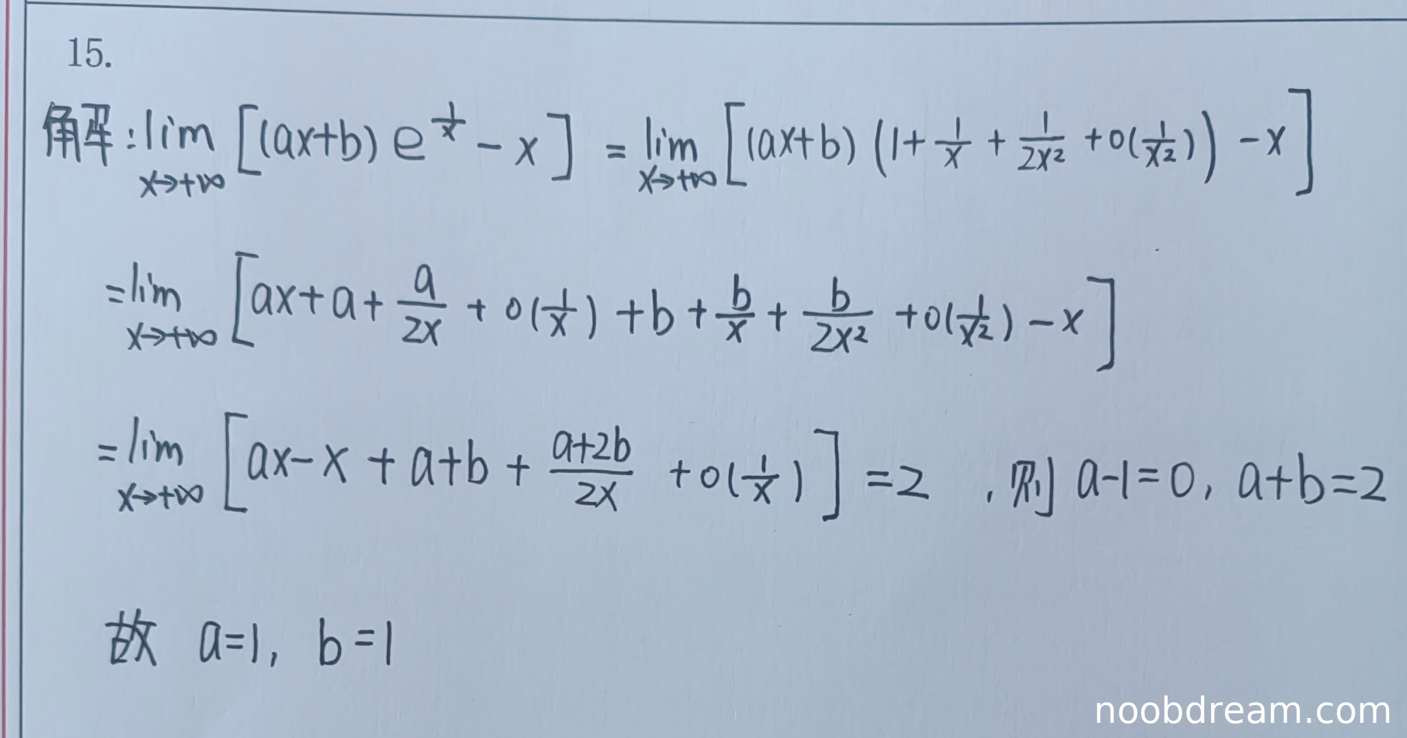
学生作答使用了泰勒展开法,思路与标准答案方法2一致,且计算过程正确。在展开过程中,学生将 \(e^{1/x}\) 展开到 \(1/x^2\) 项,这比标准答案展开的阶数更高,但并未影响最终结果,因为多余的项在取极限后均为0。学生正确地从极限存在的条件得出 \(a-1=0\) 和 \(a+b=2\),并解得 \(a=1, b=1\)。整个推理逻辑严密,无逻辑错误,计算准确。因此,本题得满分10分。
题目总分:10分

评分及理由
(1)得分及理由(满分10分)
学生作答与标准答案的最终结果在数学上完全等价:
从两次识别结果看,学生正确完成了以下步骤:
整个解题过程思路清晰,计算无误,虽然表达形式与标准答案略有差异,但数学本质相同,符合“思路正确不扣分”的原则。因此给予满分。
得分:10分
题目总分:10分

评分及理由
(1)得分及理由(满分10分)
学生作答的整体思路是正确的:设三段铁丝长度分别为 \(x, y, z\),满足 \(x+y+z=2\),然后分别用它们表示圆、正方形、正三角形的边长(或半径),进而表示出总面积 \(S\),再通过求偏导数(或代入消元后求二元函数极值)寻找最小值点。这与标准答案的拉格朗日乘数法虽然形式不同,但本质都是条件极值问题,且思路正确,因此不扣分。
然而,学生在具体计算过程中出现了关键错误:
根据打分要求,逻辑错误扣分(此处未完成解答属于不完整,但非逻辑错误,而是未完成计算),但题目要求给出三段具体长度和最小值,学生未给出,因此不能给满分。考虑到学生正确建立了模型,求偏导并得到了关键关系 \(4x=\pi y\),且验证了极值条件,但缺少最后求解方程组和代入求面积的步骤,给予部分分数。
综合评定,该解答可得 6分(满分10分)。扣分点:未求出具体长度和最小面积值(扣4分)。
题目总分:6分

评分及理由
(1)得分及理由(满分5分)
得2分。理由:学生正确展开二次型并写出了二次型矩阵A,给2分。但后续逻辑错误:将f=0的解等价为Ax=0的解(实际上f是平方和,应令每个平方项为0),并且错误地引入特征值推理得出a=3,未讨论a=2的情况,也未给出正确的解集,因此扣3分。
(2)得分及理由(满分6分)
得0分。理由:学生没有给出规范形,只给出了在a=3假设下的合同对角化形式(且不是规范形),没有分a=2和a≠2两种情况讨论,完全不符合题目要求。
题目总分:2+0=2分

评分及理由
(1)得分及理由(满分11分中的部分,通常第(1)问分值较小,但题目未明确拆分,根据常见分配,第(1)问约3分,第(2)问约8分)
学生通过计算行列式 \(|A|=0\) 和 \(|B|=2-a\),并由 \(|A|=|B|=0\) 解得 \(a=2\)。思路正确,计算无误。虽然标准答案使用矩阵等价的秩相等方法,但学生用行列式为零作为可逆矩阵方程有解的必要条件(因为若 \(A\) 可逆则 \(P=A^{-1}B\) 唯一,但这里 \(A\) 不可逆,所以用行列式为零找参数是可行的推理),逻辑正确。因此第(1)问不扣分。
得分:3分(按假设分值)
(2)得分及理由(满分11分中的部分,假设分值8分)
学生将方程 \(AP=B\) 写成 \(AX=B\) 并作增广矩阵 \((A|B)\) 进行行变换,得到行最简形:
\[
\begin{bmatrix}1&0&0&|&3&4&4\\0&1&0&|&-1&-1&-1\\0&0&1&|&0&0&0\end{bmatrix}
\]
由此得出 \(P=\begin{bmatrix}3&4&4\\-1&-1&-1\\0&0&0\end{bmatrix}\)。
这里存在逻辑错误:
1. 方程是 \(AP=B\),不是 \(AX=B\)。正确的做法是转置为 \(P^{\mathsf{T}}A^{\mathsf{T}}=B^{\mathsf{T}}\) 再用行变换,或者直接对 \(\begin{bmatrix}A\\ \hline B\end{bmatrix}\) 列变换,但学生按行变换解 \(AX=B\) 得到的是 \(A^{-1}B\)(如果 \(A\) 可逆),但此处 \(A\) 不可逆,且方程是右乘,所以方法错误。
2. 从得到的行最简形看,第三行对应解 \(x_3=0\),于是得出 \(P\) 的第三行全为零,但这样 \(P\) 不可逆(行列式为零),与题目要求“可逆矩阵 \(P\)”矛盾。学生没有检查 \(P\) 是否可逆,也没有引入自由变量,因此答案完全错误。
根据标准答案,正确解法应得到含自由参数的解,且要求参数满足 \(k_2\neq k_3\) 以保证可逆。学生答案不符合要求,且解法思路根本性错误。
扣分:第(2)问得0分。
题目总分:3+0=3分(按假设第(1)问3分、第(2)问8分,则总分为3分)
注意:原题满分11分,未明确拆分,但通常第(1)问分值较少。若按比例,第(1)问正确应得约3分,第(2)问全错得0分,因此总分3分。

评分及理由
(1)得分及理由(满分11分中的部分)
第(1)问的解答思路和计算过程完全正确。学生正确计算了EX=0,E(X²)=1,并利用协方差公式和独立性得到Cov(X,Z)=E(X²)E(Y)-[E(X)]²E(Y)=λ。两次识别结果在(1)上一致且正确。因此(1)得满分。根据题目总分11分分配,通常(1)占一部分分数,但题目未明确划分两小问分值。从常见分配看,(1)可能占4分左右。但标准答案未分步给分,这里依据整体正确性,在后续总分中体现。
(2)得分及理由(满分11分中的部分)
第(2)问求分布律,但学生求的是分布函数,且出现了严重错误:误将泊松分布Y的分布函数写成了指数分布的形式($F_Y(y)=1-e^{-\lambda y}, y>0$),这是根本性的概念错误。泊松分布是离散型分布,其分布律为$P(Y=k)=\frac{\lambda^k}{k!}e^{-\lambda}, k=0,1,2,...$,分布函数是阶梯函数。学生使用了连续型指数分布的分布函数,导致后续$F_Z(z)$的计算完全错误,因此无法得到正确的Z的分布律。尽管前半部分分解$F_Z(z)=\frac{1}{2}F_Y(z)+\frac{1}{2}[1-F_Y(-z)]$的思路在离散型下经修正后是可用的,但具体计算因分布函数错误而全错。因此(2)问不能得分。
由于题目总分为11分,结合常见分值分配(如(1)占4分,(2)占7分),且学生(1)正确、(2)错误,故总分给予(1)的分数。但题目未明确划分,需合理估分。考虑到(2)解答完全偏离,仅(1)正确,给予约4分。
题目总分:4分

评分及理由
(1)得分及理由(满分5分)
学生正确写出了似然函数,取对数后求导并令导数为零,解得最大似然估计量 \(\hat{\sigma} = \frac{1}{n} \sum_{i=1}^n |X_i|\),与标准答案一致。计算过程清晰,没有逻辑错误。因此得5分。
(2)得分及理由(满分6分)
学生计算 \(E(\hat{\sigma})\) 的过程正确,得到 \(E(\hat{\sigma}) = \sigma\)。但在计算 \(D(\hat{\sigma})\) 时出现了逻辑错误:学生计算了 \(E(\hat{\sigma}^2)\),但表达式写为 \(E(\hat{\sigma}^2) = \frac{1}{n^2} E(\sum_{i=1}^n x_i^2)\),这里混淆了 \(|X_i|\) 与 \(X_i^2\),实际上 \(\hat{\sigma}^2 = \left( \frac{1}{n} \sum |X_i| \right)^2\),并非 \(\frac{1}{n^2} \sum X_i^2\)。因此后续计算 \(E(\hat{\sigma}^2) = 2\sigma^2\) 是错误的,导致最终方差结果 \(D(\hat{\sigma}) = \sigma^2\) 错误。正确方法应为利用 \(D(|X|) = \sigma^2\) 和独立同分布性质直接得到 \(D(\hat{\sigma}) = \frac{\sigma^2}{n}\)。由于存在核心逻辑错误,扣3分。得3分。
题目总分:5+3=8分