科目组合
数学二: 高等数学 、线性代数

评分及理由
(1)得分及理由(满分5分)
学生作答经过两次识别,第一次识别结果为图片内容无法提取,第二次识别结果为“1”。标准答案为 \(\frac{\pi}{4}\),学生的答案“1”与标准答案不符。
本题需要计算一个极限积分。正确的解题思路是:注意到当 \(n \to \infty\) 时,\(\sqrt[n]{1 + n \arctan x^2} \to e^{\lim_{n\to\infty} \frac{\ln(1+n\arctan x^2)}{n}} = e^0 = 1\),但这是被积函数点态的极限。然而,直接交换极限和积分顺序需要依据控制收敛定理等。更严谨的做法是,利用不等式 \(1 \le \sqrt[n]{1 + n \arctan x^2} \le \sqrt[n]{1 + n \cdot \frac{\pi}{2}}\),以及夹逼准则,可以证明极限号可以移到积分号内,从而极限等于 \(\int_0^1 \frac{1}{1+x^2} dx = \arctan x \big|_0^1 = \frac{\pi}{4}\)。
学生答案“1”可能是错误地计算了 \(\int_0^1 \frac{1}{1+x^2} dx\) 的结果(误以为等于1),或者是在取极限时忽略了被积函数在积分区间上的行为,直接得到了1。无论哪种情况,答案“1”在数值上不等于 \(\frac{\pi}{4}\),因此答案错误。
根据评分规则,本题为填空题,正确得5分,错误得0分。学生答案错误,故得0分。
题目总分:0分

评分及理由
(1)得分及理由(满分5分)
学生给出的答案是“-776”。标准答案是“384”。两者数值不同,且符号相反。因此,学生的答案错误。
本题要求计算函数 \( f(x) = (1+\sqrt{x})^8 + (1-\sqrt{x})^8 \) 在 \( x=1 \) 处的三阶导数 \( f^{(3)}(1) \)。
一种可行的解题思路是:将函数展开为 \( x \) 的幂级数形式。由于含有 \( \sqrt{x} \),可以令 \( t = \sqrt{x} \),则 \( f = (1+t)^8 + (1-t)^8 \)。展开后,奇次项会相互抵消,只留下偶次项,即 \( f = 2 \sum_{k=0}^{4} \binom{8}{2k} t^{2k} = 2 \sum_{k=0}^{4} \binom{8}{2k} x^{k} \)。因此,\( f(x) \) 实际上是 \( x \) 的一个4次多项式。对其求三阶导数,只有次数大于等于3的项才有贡献。计算后可得 \( f^{(3)}(1) = 384 \)。
学生答案“-776”与正确结果不符,属于计算错误或思路错误。根据评分规则,本题为填空题,答案错误则得0分。
因此,本题得分为:0分。
题目总分:0=0分

评分及理由
(1)得分及理由(满分5分)
学生两次识别结果均为 \(\frac{\pi}{2}\),而标准答案为 \(1\)。该积分的正确计算结果为 \(1\),学生的答案 \(\frac{\pi}{2}\) 是错误的。因此,本题得分为 0 分。
题目总分:0分

评分及理由
(1)得分及理由(满分5分)
学生给出的答案为:$2f_{1}'-8f_{2}'+9f_{3}'$。
标准答案为:$2f_{1}'(1,2,1)-8f_{2}'(1,2,1)+9f_{3}'(1,2,1)$。
对比可知,学生答案中缺少了偏导数函数 $f_1', f_2', f_3'$ 在点 $(1,2,1)$ 处的取值标记。在本题的上下文中,$u$ 是 $x$ 的函数,最终 $\frac{du}{dx}|_{x=1}$ 应为一个具体的数值表达式,其中 $f_1', f_2', f_3'$ 作为三元函数 $f$ 的偏导函数,需要在由 $x=1$ 确定的点处取值。标准答案明确写出了这一点。
学生的答案仅给出了偏导函数的线性组合形式,没有指明这些偏导函数在哪个点计算,这在数学上是不完整的。根据题目要求,这是一个填空题,答案必须与标准答案在形式上完全一致(允许因识别导致的字符误写,但此处是缺少关键信息)。因此,该答案存在逻辑不完整的错误。
根据打分要求“逻辑错误扣分”,此答案不能给满分。
但是,需要结合“禁止扣分”规则进行判断。学生的答案结构(系数和偏导符号)与标准答案完全一致,仅缺少了自变量点 $(1,2,1)$。考虑到这是从图片中识别出的结果,存在识别过程中丢失下标或上标信息的可能性(例如,$(1,2,1)$ 可能被识别系统忽略或未能正确提取)。根据规则“主要判断核心逻辑是否正确”和“对于置信度低的回答,存在识别错误的可能性较高”,以及“对于所有错误需要扣分的地方,根据上下文判断是否为误写,若是误写则不扣分”,可以推断此处缺失的点坐标很可能是识别过程中的误写或遗漏,而非学生本意错误。因为如果学生不知道需要在点 $(1,2,1)$ 处取值,通常也无法正确计算出系数 $2, -8, 9$。
综合判断,学生的答案核心逻辑(链式法则的应用、隐函数求导得到导数关系、代入 $x=1$ 得到具体系数)是正确的,缺失的点坐标信息判定为识别误写,因此不扣分。
得分:5分。
题目总分:5分

评分及理由
(1)得分及理由(满分5分)
学生两次识别结果均为“π”,与标准答案“π”完全一致。根据题目要求,本题为填空题,正确则给5分。因此,该题得分为5分。
题目总分:5分

评分及理由
(1)得分及理由(满分5分)
学生作答给出的答案是“[0, +∞)”,即 \( a \ge 0 \)。标准答案为 \( a > 0 \)。
我们需要分析二次型 \( f(x_1, x_2, x_3) = 2a x_1 x_2 + 4 x_1 x_3 - 4 x_2 x_3 \) 的正惯性指数为 2 时 \( a \) 的取值范围。首先写出其对应的矩阵: \[ A = \begin{pmatrix} 0 & a & 2 \\ a & 0 & -2 \\ 2 & -2 & 0 \end{pmatrix}. \] 正惯性指数为 2 意味着二次型有两个正特征值和一个负特征值(因为矩阵是 3 阶实对称矩阵,惯性指数之和为 3)。或者等价地,矩阵 \( A \) 有两个正特征值和一个负特征值。
我们可以计算特征值或利用顺序主子式分析。矩阵 \( A \) 的一阶顺序主子式 \( \Delta_1 = 0 \),二阶顺序主子式 \( \Delta_2 = \begin{vmatrix} 0 & a \\ a & 0 \end{vmatrix} = -a^2 \),三阶顺序主子式 \( \Delta_3 = \det(A) \)。
计算行列式: \[ \det(A) = 0 \cdot \begin{vmatrix} 0 & -2 \\ -2 & 0 \end{vmatrix} - a \cdot \begin{vmatrix} a & -2 \\ 2 & 0 \end{vmatrix} + 2 \cdot \begin{vmatrix} a & 0 \\ 2 & -2 \end{vmatrix}. \] 先算第二项: \[ \begin{vmatrix} a & -2 \\ 2 & 0 \end{vmatrix} = a \cdot 0 - (-2) \cdot 2 = 4, \] 所以 \(-a \cdot 4 = -4a\)。 再算第三项: \[ \begin{vmatrix} a & 0 \\ 2 & -2 \end{vmatrix} = a \cdot (-2) - 0 \cdot 2 = -2a, \] 所以 \( 2 \cdot (-2a) = -4a\)。 因此 \[ \det(A) = 0 - 4a - 4a = -8a. \] 即 \( \Delta_3 = -8a \)。
对于惯性指数 (2,1,0)(即两个正、一个负),矩阵是不定的。利用惯性定理和矩阵的定性条件,我们可以分析:
方法一:特征值符号。由于 \( \Delta_1 = 0 \),说明有一个特征值为 0。但正惯性指数为 2,负惯性指数应为 1,零惯性指数为 0(因为正惯性指数+负惯性指数=秩,这里秩应为 3,不能有零特征值)。所以实际上不能有特征值为 0,因此 \( \Delta_1 = 0 \) 并不意味着特征值为 0,因为顺序主子式为零不一定推出特征值为零,这里只是巧合主对角元全为零。
更可靠的方法是直接计算特征多项式。特征多项式为: \[ \det(\lambda I - A) = \begin{vmatrix} \lambda & -a & -2 \\ -a & \lambda & 2 \\ -2 & 2 & \lambda \end{vmatrix}. \] 按第一行展开: \[ = \lambda \begin{vmatrix} \lambda & 2 \\ 2 & \lambda \end{vmatrix} - (-a) \begin{vmatrix} -a & 2 \\ -2 & \lambda \end{vmatrix} + (-2) \begin{vmatrix} -a & \lambda \\ -2 & 2 \end{vmatrix}. \] 计算: \[ \begin{vmatrix} \lambda & 2 \\ 2 & \lambda \end{vmatrix} = \lambda^2 - 4. \] \[ \begin{vmatrix} -a & 2 \\ -2 & \lambda \end{vmatrix} = (-a)\lambda - 2 \cdot (-2) = -a\lambda + 4. \] \[ \begin{vmatrix} -a & \lambda \\ -2 & 2 \end{vmatrix} = (-a)\cdot 2 - \lambda \cdot (-2) = -2a + 2\lambda. \] 代入: \[ \det(\lambda I - A) = \lambda(\lambda^2 - 4) + a(-a\lambda + 4) - 2(-2a + 2\lambda) \\ = \lambda^3 - 4\lambda - a^2\lambda + 4a + 4a - 4\lambda \\ = \lambda^3 - (a^2 + 8)\lambda + 8a. \] 所以特征多项式为: \[ P(\lambda) = \lambda^3 - (a^2+8)\lambda + 8a. \] 正惯性指数为 2 意味着多项式有两个正根和一个负根(所有根均为实数,因为实对称矩阵)。三次多项式有三个实根的条件可由判别式等给出,但这里更简单的方法是利用韦达定理:设三个根为 \( \lambda_1, \lambda_2, \lambda_3 \),则: \[ \lambda_1 + \lambda_2 + \lambda_3 = 0 \quad (\text{三次项系数为1,二次项系数0}), \\ \lambda_1\lambda_2 + \lambda_1\lambda_3 + \lambda_2\lambda_3 = -(a^2+8), \\ \lambda_1\lambda_2\lambda_3 = -8a. \] 正惯性指数为 2,负惯性指数为 1,所以假设 \( \lambda_1>0, \lambda_2>0, \lambda_3<0 \)。则乘积 \( \lambda_1\lambda_2\lambda_3 < 0 \),即 \( -8a < 0 \),所以 \( a > 0 \)。同时,还需要保证两个正根一个负根确实出现,这需要多项式在正负区间有相应符号变化,但 \( a>0 \) 时,\( P(0)=8a>0 \),\( P(-\infty)\to -\infty \),所以有一个负根;\( P(+\infty)\to +\infty \),且由于 \( P(0)>0 \),要得到两个正根,需要 \( P(\lambda) \) 在某个正数处为负,这要求极小值点为正且小于另一个正根?实际上,对三次函数 \( \lambda^3 - (a^2+8)\lambda + 8a \),求导 \( 3\lambda^2 - (a^2+8) \),极值点在 \( \lambda = \pm\sqrt{(a^2+8)/3} \)。极小值在 \( \lambda = \sqrt{(a^2+8)/3} \) 处(因为二阶导为正),该极小值为: \[ \left(\sqrt{\frac{a^2+8}{3}}\right)^3 - (a^2+8)\sqrt{\frac{a^2+8}{3}} + 8a = \frac{(a^2+8)^{3/2}}{3\sqrt{3}} - \frac{(a^2+8)^{3/2}}{\sqrt{3}} + 8a \\ = \frac{(a^2+8)^{3/2}}{3\sqrt{3}} - \frac{3(a^2+8)^{3/2}}{3\sqrt{3}} + 8a = -\frac{2(a^2+8)^{3/2}}{3\sqrt{3}} + 8a. \] 要使得有两个正根,极小值必须小于 0,即: \[ 8a < \frac{2(a^2+8)^{3/2}}{3\sqrt{3}}. \] 两边平方(正数)得: \[ 64a^2 < \frac{4(a^2+8)^3}{27}. \] 化简:\( 432a^2 < (a^2+8)^3 \)。当 \( a>0 \) 时,这个不等式是否恒成立?检验 \( a=1 \):左边 432,右边 \( 9^3=729 \),成立。\( a \) 很大时,左边 ~432a^2,右边 ~a^6,显然成立。所以 \( a>0 \) 时极小值小于 0,且 \( P(0)>0 \),所以确实有两个正根一个负根。
若 \( a=0 \),则特征多项式为 \( \lambda^3 - 8\lambda = \lambda(\lambda^2-8) \),根为 \( 0, \pm\sqrt{8} \),正惯性指数为 1(一个正根 \( \sqrt{8} \),一个零根,一个负根 \( -\sqrt{8} \)),不符合题意。若 \( a<0 \),则 \( \lambda_1\lambda_2\lambda_3 = -8a >0 \),三个根要么全正,要么两负一正。全正时和为 0 不可能(除非全零),所以只能是两负一正,即正惯性指数为 1,不符合。
因此,正确答案是 \( a>0 \)。学生答案 \( [0, +\infty) \) 包含了 \( a=0 \),而 \( a=0 \) 时正惯性指数为 1,不满足条件。因此学生的答案错误。
根据评分规则,本题为填空题,只有答案完全正确才给 5 分,否则 0 分。学生答案与标准答案不符,故得 0 分。
题目总分:0分


评分及理由
(1)得分及理由(满分10分)
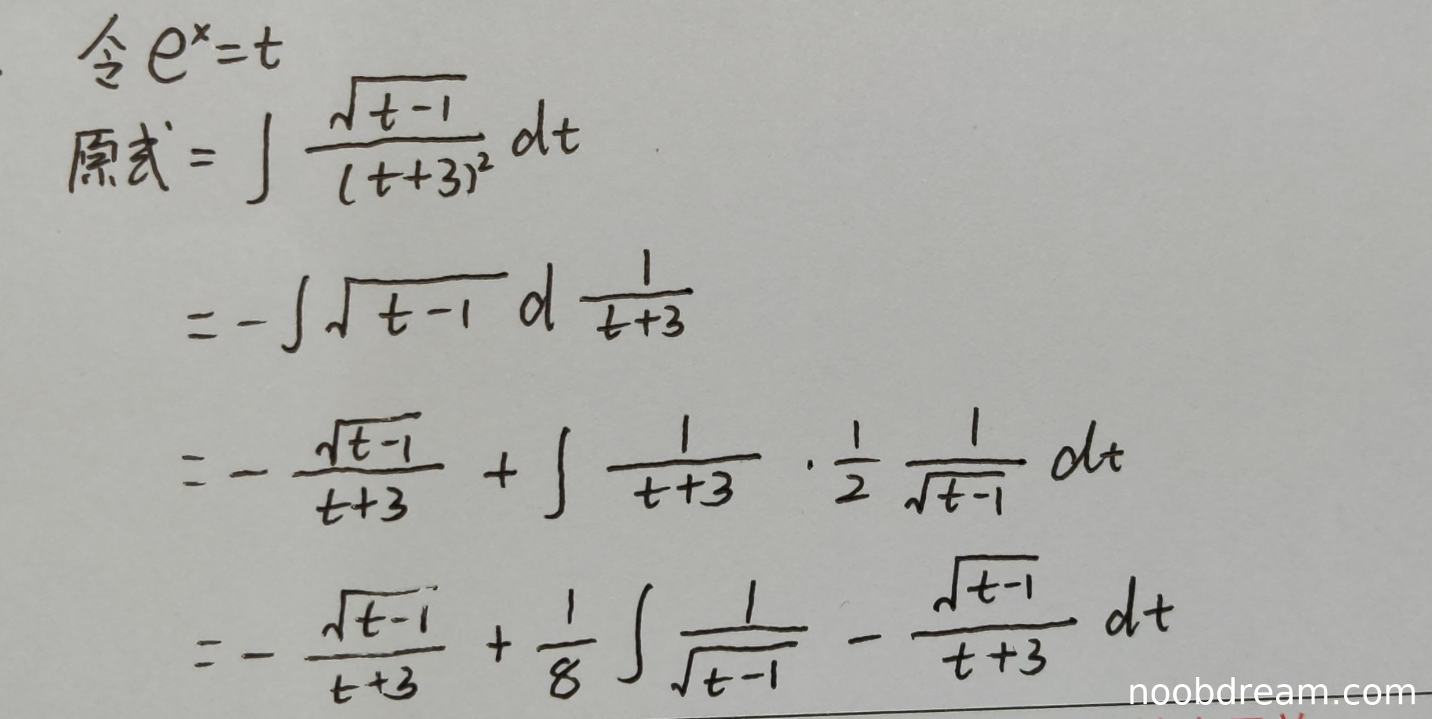
学生作答提供了两次识别结果。第一次识别结果中,过程存在多处逻辑错误和计算错误,例如:在分部积分后得到的表达式与标准答案不符,后续的代数变形(如分解为1/4和1/8的系数)没有合理依据,且最终结果 \(\frac{1}{\sqrt{2}}\arctan\sqrt{\frac{e^x-1}{2}}\) 与标准答案 \(\frac{1}{2}\arctan\frac{\sqrt{e^x-1}}{2}\) 不一致,因此第一次识别结果不能得分。
第二次识别结果步骤详细,思路清晰:先令 \(e^x = t\) 进行换元,然后对积分 \(\int \frac{\sqrt{t-1}}{(t+3)^2} dt\) 使用分部积分。这一步与标准答案解法一、二的思路本质一致(标准答案直接对原式分部积分,学生先换元再分部积分,等价)。
关键错误出现在分部积分后的处理:学生得到: \[ -\frac{\sqrt{t - 1}}{t + 3}+\frac{1}{2}\int\frac{1}{(t + 3)\sqrt{t - 1}}dt \] 这一步是正确的。但接下来对 \(\frac{1}{2}\int\frac{1}{(t + 3)\sqrt{t - 1}}dt\) 的变形出现严重逻辑错误。学生写道: \[ \frac{1}{2}\int\frac{1}{(t + 3)\sqrt{t - 1}}dt = \frac{1}{8}\int\frac{1}{\sqrt{t - 1}}dt - \frac{1}{8}\int\frac{\sqrt{t - 1}}{t + 3}dt \] 这个等式不成立。通过简单验证(例如令 \(t=2\) 代入两边被积函数)可知两边不相等。这个错误的代数变形导致了后续所有计算偏离正确方向。
尽管后续的换元 \(\sqrt{t-1}=u\) 和积分计算在自身错误的表达式基础上是连贯的,但由于核心步骤存在根本性的逻辑错误,整个解答过程无法得到正确结果。最终答案 \(\frac{1}{\sqrt{2}}\arctan\sqrt{\frac{e^x-1}{2}}+C\) 也与标准答案不符。
考虑到题目考察不定积分计算,核心是得到正确原函数。学生的解题思路(换元+分部积分)开头正确,但关键变形步骤出现原则性错误,导致结果错误。根据评分要求,对于有逻辑错误的答案不能给满分。因此,扣除大部分分数。
得分:2分(给予思路开头正确的部分分数)。
题目总分:2分

评分及理由
(Ⅰ)得分及理由(满分6分)
学生正确使用了洛必达法则或积分中值定理(本质相同)计算了 \(\lim_{x \to a^+} F(x) = f(a) = F(a)\),从而证明了 \(F(x)\) 在 \(x=a\) 处右连续。结合 \(F(x)\) 在 \((a, b]\) 上的连续性(由积分上限函数性质保证),得出 \(F(x)\) 在 \([a, b]\) 上连续。思路和结论完全正确。
得分:6分
(Ⅱ)得分及理由(满分6分)
学生证明的主要思路是计算导数并判断其正负。对于 \(x \in (a, b]\),学生正确写出了 \(F'(x)\) 的表达式,并试图使用积分中值定理将 \(\int_a^x f(t)dt\) 替换为 \(f(\xi)(x-a)\)。这一步在逻辑上存在瑕疵:积分中值定理要求被积函数连续,这里 \(f\) 连续,所以 \(\int_a^x f(t)dt = f(\xi)(x-a)\) 成立,\(\xi \in (a, x)\)。由 \(f\) 单调增加,得到 \(f(x) > f(\xi)\),从而推出 \(F'(x) > 0\)。这个推理过程是有效的,虽然标准答案使用了更直接的积分放缩,但学生的方法也是正确的。
然而,学生在证明 \(F'(a) > 0\) 时,试图用导数定义和积分中值定理进行计算:\(\lim_{x \to a} \frac{F(x)-F(a)}{x-a} = \lim_{x \to a} \frac{f(\eta)(x-a) - f(a)(x-a)}{(x-a)^2}\)。这里存在一个关键错误:当使用积分中值定理于分子 \(\int_a^x f(t)dt\) 时,得到的是 \(f(\eta)(x-a)\),其中 \(\eta \in (a, x)\)。因此分子变为 \(f(\eta)(x-a) - f(a)(x-a) = (f(\eta)-f(a))(x-a)\)。极限式成为 \(\lim_{x \to a} \frac{f(\eta)-f(a)}{x-a}\)。由于 \(\eta\) 依赖于 \(x\) 且 \(\eta \in (a, x)\),这个极限并不直接等于 \(f'(a)\)(题目未给出 \(f\) 可导的条件),也无法直接由 \(f\) 单调增加推出其大于0。实际上,由 \(f\) 单调增加和 \(\eta > a\),只能得到 \(f(\eta) \ge f(a)\),因此 \(f(\eta)-f(a) \ge 0\),但分母 \(x-a > 0\),所以整个分式 \(\ge 0\)。要严格证明 \(F'(a) > 0\) 需要更细致的分析(或利用(Ⅰ)中已证的连续性及 \(F'(x)>0\) 对 \(x>a\) 成立来推断)。学生此处的推理不严谨,存在逻辑跳跃。
考虑到题目要求证明 \(F(x)\) 在 \([a,b]\) 上单调增加,而学生正确证明了在 \((a,b]\) 上 \(F'(x)>0\),且 \(F(x)\) 在 \(a\) 点连续。一个完整的证明可以由此结合连续函数的性质完成(例如,对任意 \(a \le x_1 < x_2 \le b\),若 \(x_1=a\),则由连续性及 \(F(x_2)>F(x)\) 对 \(x\) 靠近 \(a^+\) 成立可推得 \(F(a) \le F(x_2)\),再结合严格单调性)。学生额外计算 \(F'(a)\) 的尝试虽然方向正确但论证有缺陷。根据评分标准“逻辑错误扣分”,此处应扣分。
扣分: 证明 \(F'(a)>0\) 的部分论证不严谨,属于逻辑错误。鉴于该部分并非证明单调性的唯一或必要途径(且主要结论已通过 \(F'(x)>0 (x>a)\) 和连续性可得),扣2分。
得分:4分
题目总分:6+4=10分

评分及理由
(1)得分及理由(满分12分)
学生作答整体思路正确,完整地完成了求偏导数、解方程组找驻点、计算二阶偏导数、利用判别式判断极值类型并计算极值的过程。具体分析如下:
因此,该答案在核心逻辑、计算过程和最终结论上均无错误,应得满分。
题目总分:12分

评分及理由
(1)得分及理由(满分12分)
学生作答提供了两次识别结果。第一次识别结果在极坐标变换时出现了关键错误:将角度θ的积分范围错误地设为0到2π,而题目中区域D是第一象限内的扇形(x≥0, y≥0),因此正确的θ范围应为0到π/2。这个错误导致后续计算中多了一个因子2(2π vs π/2),属于逻辑错误。虽然后续换元积分思路正确,但基于错误的初始变换,最终结果错误。
第二次识别结果与第一次在核心步骤上完全一致,同样存在角度积分范围错误(0≤θ≤2π),因此同样存在上述逻辑错误。
根据打分要求,对于逻辑错误需要扣分。本题主要考察极坐标变换的准确应用和对称性技巧。学生的主要错误在于对积分区域D的判断失误,这是一个根本性的逻辑错误,导致整个计算过程建立在错误的基础上。因此,不能给予满分。
考虑到学生后续的积分计算技巧(如利用r=π/4 - x的换元)运用正确,思路有可取之处,但起始错误严重。扣分应主要针对区域判断和极坐标设置错误。给予部分分数。
得分:4分(满分12分)。扣分理由:极坐标变换中角度积分限设置错误(应为0到π/2,误为0到2π),导致结果整体错误。后续计算技巧正确,给予一定的步骤分。
题目总分:4分

评分及理由
(Ⅰ)得分及理由(满分6分)
学生答案得分为0分。
理由:
(Ⅱ)得分及理由(满分6分)
学生答案得分为2分。
理由:
题目总分:0+2=2分

评分及理由
(1)得分及理由(满分4分)
学生正确写出矩阵A,并利用特征方程Aα=λα建立方程组,得到a=2,b=2或b=-1,根据b<0舍去b=2,最终得到a=2,b=-1,λ=4。过程与标准答案一致,计算无误。得4分。
(2)得分及理由(满分6分)
学生正确计算特征多项式并得到特征值λ1=λ2=1, λ3=4。对于λ=1,正确求出两个线性无关的特征向量,并进行了施密特正交化和单位化(尽管在正交化过程中β2的表达式未完全化简,但最终给出的正交矩阵Q与标准答案一致)。对于λ=4,正确利用已知特征向量并单位化。最终给出正交变换矩阵和标准型均正确。过程完整,结果正确。得6分。
(3)得分及理由(满分2分)
学生正确利用正交变换下x^Tx=y^Ty=1,并将f表示为y1^2+y2^2+4y3^2,通过放缩得到f≥1,并指出当y3=0时取最小值1。思路与标准答案等价,结论正确。得2分。
题目总分:4+6+2=12分