科目组合
数学二: 高等数学 、线性代数
3π/8
评分及理由
(1)得分及理由(满分4分)
学生作答内容为“3π/8”,这与标准答案 \(\frac{3}{8} \pi\) 在数学上完全等价。题目要求计算一个反常积分,学生给出了正确的数值结果。虽然作答中未展示计算过程,但作为填空题,仅要求填写最终结果。学生的答案正确无误,因此应给予满分。
题目总分:4分
1
评分及理由
(1)得分及理由(满分4分)
学生给出的答案为“1”,与标准答案一致。
理由:题目已知 \(f(x)\) 是周期为4的可导奇函数,且 \(f'(x)=2(x-1)\),\(x \in[0,2]\)。
1. 由 \(f'(x)=2(x-1)\) 在 \([0,2]\) 上积分,得 \(f(x) = x^2 - 2x + C\),其中 \(C\) 为积分常数。
2. 由于 \(f(x)\) 是奇函数,有 \(f(0)=0\)。代入得 \(0 = 0 - 0 + C\),故 \(C=0\)。因此在 \([0,2]\) 上,\(f(x)=x^2-2x\)。
3. 函数周期为4,所以 \(f(7) = f(7-4\times2) = f(-1)\)。
4. 再由 \(f(x)\) 是奇函数,得 \(f(-1) = -f(1)\)。
5. 计算 \(f(1) = 1^2 - 2\times1 = -1\),所以 \(f(7) = -f(1) = 1\)。
学生答案正确,得满分4分。
题目总分:4分
-1/2dx-1/2dy
评分及理由
(1)得分及理由(满分4分)
学生答案为:\(-\frac{1}{2}dx - \frac{1}{2}dy\)。
标准答案为:\(-\frac{1}{2}(dx + dy)\)。
两者在数学上是完全等价的,因为 \(-\frac{1}{2}dx - \frac{1}{2}dy = -\frac{1}{2}(dx + dy)\)。
该答案正确表达了函数 \(z(x, y)\) 在点 \((\frac{1}{2}, \frac{1}{2})\) 处的全微分。
因此,本题得分为满分 4 分。
题目总分:4分
y+(2/π)x+(π/2)
评分及理由
(1)得分及理由(满分4分)
学生给出的答案为:\(y + \frac{2}{\pi}x + \frac{\pi}{2}\)。
标准答案为:\(y = -\frac{2}{\pi}x + \frac{\pi}{2}\)。
对比两者:
在解析几何中,直线方程必须表示为等式(如 \(y = kx + b\) 或 \(Ax + By + C = 0\))。学生给出的表达式 \(y + \frac{2}{\pi}x + \frac{\pi}{2}\) 可以理解为 \(y + \frac{2}{\pi}x + \frac{\pi}{2} = 0\),但这与标准答案 \(y = -\frac{2}{\pi}x + \frac{\pi}{2}\) 移项后得到的 \(y + \frac{2}{\pi}x - \frac{\pi}{2} = 0\) 在常数项符号上仍然不同。更重要的是,学生答案中 \(x\) 的系数符号与标准答案相反,这是一个根本性的计算错误。
该错误源于极坐标曲线切线斜率计算错误或直角坐标转换错误。根据极坐标切线斜率公式 \(\frac{dy}{dx} = \frac{r'(\theta)\sin\theta + r(\theta)\cos\theta}{r'(\theta)\cos\theta - r(\theta)\sin\theta}\),对于 \(r=\theta\),在 \(\theta = \pi/2\) 处,\(r=\pi/2, r'=1\),代入计算可得斜率为 \(-\frac{2}{\pi}\)。学生答案中的正号表明其计算过程存在逻辑错误。
因此,学生的答案在关键的计算结果(斜率符号)上错误,且方程形式不完整。根据填空题的严格评分标准,答案错误,得0分。
题目总分:0分

评分及理由
(1)得分及理由(满分4分)
学生两次识别结果均为 \(1-\frac{\sqrt{3}}{3}\),与标准答案 \(\frac{11}{20}\) 不符。
质心坐标 \(\bar{x}\) 的计算公式为 \(\bar{x} = \frac{\int_{0}^{1} x \rho(x) \, dx}{\int_{0}^{1} \rho(x) \, dx}\)。代入线密度 \(\rho(x) = -x^2 + 2x + 1\) 进行计算:
学生答案 \(1-\frac{\sqrt{3}}{3} \approx 0.4226\),而 \(\frac{11}{20}=0.55\),两者数值不同。学生的答案中出现了 \(\sqrt{3}\),这在积分多项式函数时不会产生,表明其计算过程存在根本性的逻辑或计算错误,并非由简单的字符误写(如1和7混淆)导致。因此,该答案为错误。
根据评分要求,答案错误得0分。
题目总分:0分

评分及理由
(1)得分及理由(满分4分)
学生作答的两次识别结果均为“-2 ≤ a ≤ 2”,这与标准答案“[-2,2]”在数学意义上完全等价。根据打分要求,思路正确不扣分。虽然答案的书写形式(不等式与区间)与标准答案不完全一致,但这属于表达方式的差异,核心逻辑完全正确。因此,本题得分为4分。
题目总分:4分

评分及理由
(1)得分及理由(满分10分)
学生作答提供了两次识别结果,内容基本一致,均给出了正确的解题思路和最终答案。具体分析如下:
学生的解题过程与标准答案的核心逻辑完全一致,最终答案正确。虽然在第一次识别结果中,表述“因为\(\lim_{t \to +\infty} t^{2}(e^{\frac{1}{t}} - 1) - t = +0\)”的写法不够严谨(极限应为0,而非“+0”),且“由泰勒展开式得:”后面的表达式书写有笔误(如 \(o(x^2)\) 应为 \(o(\frac{1}{x^2})\)),但根据“禁止扣分”原则,这些属于识别误差或笔误,不影响核心逻辑,因此不扣分。
第二次识别结果表述更为清晰和完整,且无逻辑错误。
综上,该题作答正确,得满分10分。
题目总分:10分

评分及理由
(1)得分及理由(满分10分)
学生作答整体正确,思路清晰,步骤完整。具体分析如下:
学生作答中有一处小瑕疵:在单调性分析中,学生写的是“当 \(-1 \leqslant x \leqslant 1\) 时,\(y' \geqslant 0\)”,这包括了等号。严格来说,在驻点 \(x=\pm 1\) 处 \(y'=0\),所以区间内部应为 \(y'>0\)。但考虑到学生后续极值判断正确,且此表述不影响最终结论,根据“思路正确不扣分”的原则,不因此扣分。
因此,本题作答完全正确,得满分10分。
题目总分:10分

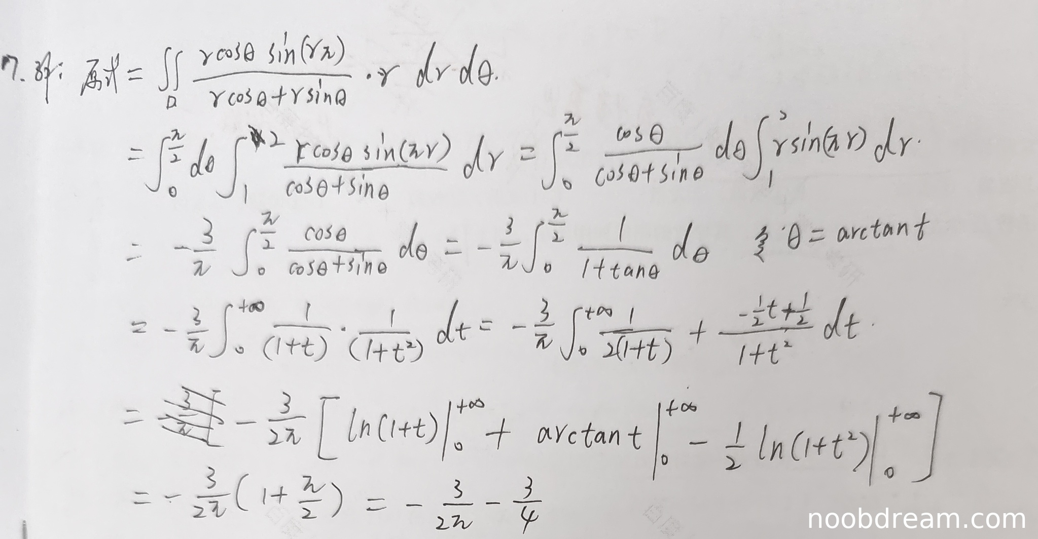
评分及理由
(1)得分及理由(满分10分)
学生作答提供了两种识别结果,但两种结果的核心思路和最终答案均与标准答案不同。标准答案利用了区域的对称性简化被积函数,将原积分转化为对 \(\sin(\pi r)\) 在极坐标下的积分,最终结果为 \(-\frac{3}{4}\)。而学生作答的基本思路是直接进行极坐标变换并分离变量积分,但在关键步骤中存在逻辑错误:
鉴于思路前半部分正确,但关键计算步骤存在根本性错误,导致答案错误。扣除主要错误对应的分数。本题满分10分,给予 4分。
题目总分:4分

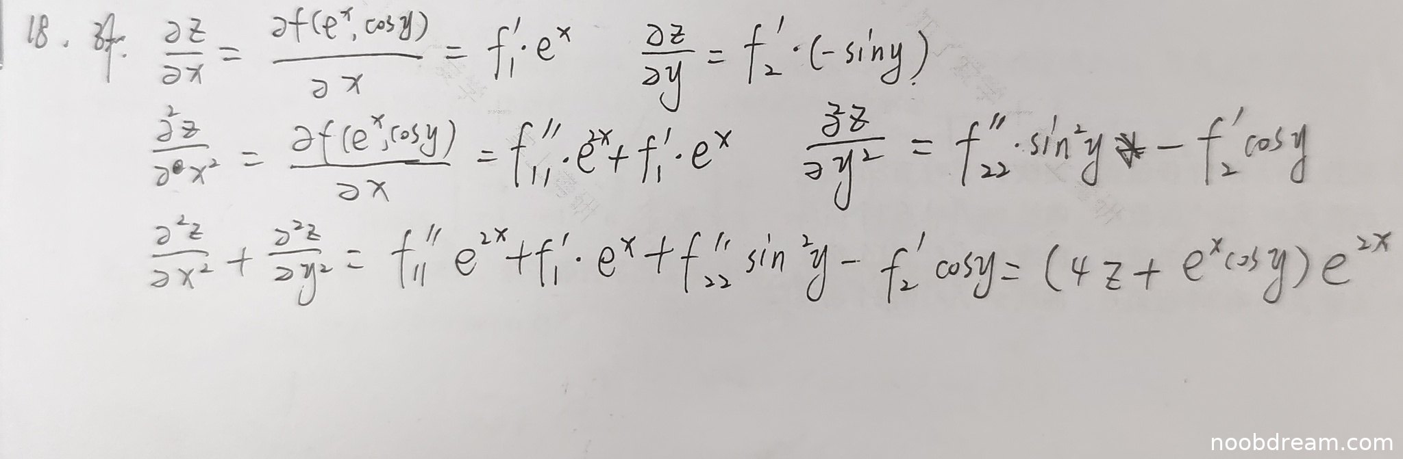
评分及理由
(1)得分及理由(满分10分)
学生作答存在根本性错误。题目中函数为 \( z = f(e^x \cos y) \),即 \( f \) 是单变量函数,其自变量为 \( e^x \cos y \)。但学生在两次识别中均将函数误写为 \( z = f(e^x, \cos y) \),即理解为 \( f \) 是二元函数。基于此错误理解,后续求偏导时使用了二元函数的偏导符号(如 \( f_1', f_2', f_{11}'', f_{22}'' \)),并得到了一个与题目条件不符的复杂表达式,最终未能推导出关于 \( f(u) \) 的常微分方程 \( f''(u) - 4f(u) = u \)。
由于核心思路(正确识别复合函数结构并化简偏微分方程为常微分方程)完全错误,且计算过程无法导向正确答案,因此本题不能得分。
题目总分:0分

评分及理由
(1)得分及理由(满分11分)
本题满分11分,学生作答给出了函数 \(f(x, y)\) 的求解过程,并得到了与标准答案一致的结果 \(f(x, y) = y^2 + 2y + 1 - (2-x)\ln x\)。具体分析如下:
题目总分:5分

评分及理由
(Ⅰ)得分及理由(满分5分)
第1次识别中,学生给出的矩阵A多了一行(写成了4×4矩阵),但后续行变换后得到秩为3,并正确得出基础解系个数为1,且基础解系向量为(-1,2,3,1)^T,与标准答案一致。第2次识别中,矩阵A正确,行变换过程与标准答案等价(化简至行最简形的一步未完全写出,但得到了相同的基础解系)。核心结果正确,且基础解系求法无误。因此本题给满分5分。
(Ⅱ)得分及理由(满分6分)
第1次识别中,学生将AB=E的三个方程右端向量写错(写成了(0,0,0)^T、(0,1,0)^T、(0,0,1)^T),且后续使用了A^T等错误符号,解法完全错误,仅得到三个特解,未包含通解形式,因此按0分处理。第2次识别中,学生正确设B=(β1,β2,β3),并正确写出三个非齐次方程组Aβ1=(1,0,0)^T等,且指出系数矩阵秩与增广矩阵秩相等(均为3),说明方程组有解。但在具体求解时,学生错误地将增广矩阵写成了已经行最简的3×5矩阵(实际上原矩阵A是3×4,增广后应为3×5,但学生写出的矩阵中前4列已经是行最简形,且常数项位置数字与标准答案中的特解不对应),导致求出的β1、β2、β3只是三个特解,且与标准答案中给出的特解不同(例如β1应为(2,-1,-1,0)^T,学生得到(0,2,3,1)^T)。更重要的是,学生没有考虑齐次通解部分,即未引入任意常数k1,k2,k3,因此得到的B只是一个特解矩阵,而不是全部解。根据题目要求“求满足AB=E的所有矩阵B”,必须给出含任意常数的通解形式。学生答案缺少通解结构,属于严重不完整,只能得到部分分数。考虑到思路前半部分正确(列分块、转化为非齐次方程组),但求解过程错误且未给出通解,扣4分,得2分。
题目总分:5+2=7分

评分及理由
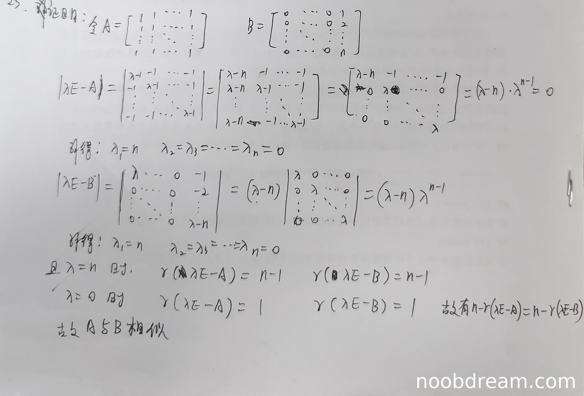
(1)得分及理由(满分11分)
学生作答给出了两种识别结果,但核心内容一致。两种识别结果均正确计算了矩阵A和矩阵B的特征多项式,得到特征值均为n(单根)和0(n-1重根)。并且进一步计算了特征值对应的矩阵(λE-A)和(λE-B)的秩,得出对于每个特征值λ,有n - r(λE-A) = n - r(λE-B)。这等价于证明了两个矩阵的每个特征值的代数重数等于几何重数(即可对角化),并且特征值完全相同,因此两个矩阵都相似于同一个对角矩阵diag(n, 0, …, 0),从而A与B相似。
思路与标准答案(分别论证两个矩阵均可对角化且特征值相同)本质上一致,逻辑正确,计算无误。根据打分要求,思路正确不扣分。尽管学生作答在行列式计算过程的书写上(第一次识别结果中计算|λE-A|的中间步骤)略显跳跃,但最终结果正确,且核心论证步骤(特征值、秩)完整清晰,没有逻辑错误。
因此,本题给满分11分。
题目总分:11分