科目组合
数学二: 高等数学 、线性代数
-1
评分及理由
(1)得分及理由(满分5分)
学生给出的答案为“-1”。
首先,题目要求计算曲线 \(y=\int_{-\sqrt{3}}^{x} \sqrt{3-t^{2}} ~d t\) 的弧长。根据弧长公式,对于函数 \(y=f(x)\),弧长微元为 \(ds = \sqrt{1+(y')^2} dx\)。这里,由微积分基本定理,\(y' = \sqrt{3-x^2}\)。因此,弧长微元为 \(ds = \sqrt{1+(\sqrt{3-x^2})^2} dx = \sqrt{1+3-x^2} dx = \sqrt{4-x^2} dx\)。
接下来需要确定积分区间。函数 \(y(x)\) 的定义域由被积函数 \(\sqrt{3-t^2}\) 决定,要求 \(3-t^2 \ge 0\),即 \(t \in [-\sqrt{3}, \sqrt{3}]\)。因此,变量 \(x\) 的取值范围也是 \([-\sqrt{3}, \sqrt{3}]\)。曲线弧长应对整个定义域区间进行计算,即从 \(x=-\sqrt{3}\) 到 \(x=\sqrt{3}\)。
所以,弧长 \(L = \int_{-\sqrt{3}}^{\sqrt{3}} \sqrt{4-x^2} dx\)。这是一个关于原点对称的偶函数积分,可以化简为 \(L = 2\int_{0}^{\sqrt{3}} \sqrt{4-x^2} dx\)。通过三角代换 \(x=2\sin\theta\) 或利用几何意义(表示半径为2的圆的一部分面积)计算,可得结果为 \(\sqrt{3} + \frac{4\pi}{3}\)。
标准答案为 \(\sqrt{3}+\frac{4}{3} \pi\),而学生答案为“-1”。该答案与正确答案在数值和形式上均完全不符。弧长是一个正数,不可能为负数。因此,学生的答案存在根本性的逻辑错误和计算错误。
根据题目要求,本题为填空题,正确则给5分,错误则给0分,禁止给步骤分。因此,本题得分为0分。
题目总分:0分
-2
评分及理由
(1)得分及理由(满分5分)
学生给出的答案是“-2”。
本题要求计算由方程 \(e^{z}+x z=2 x-y\) 确定的隐函数 \(z=z(x, y)\) 在点 \((1,1)\) 处的二阶偏导数 \(\frac{\partial^{2} z}{\partial x^{2}}\) 的值。
标准答案为 \(-\frac{3}{2}\)。
学生的答案“-2”与标准答案在数值上不相等,因此答案错误。
根据题目要求:“正确则给5分,错误则给0分,本题禁止给步骤分或其他分数(这条规则优先级最高)”,学生的作答未能给出正确结果,故得0分。
题目总分:0分
-11/9
评分及理由
(1)得分及理由(满分5分)
学生给出的答案为“-11/9”。标准答案为“-\frac{11}{9}”,即 \(-\frac{11}{9}\)。学生的答案“-11/9”在数学意义上与标准答案完全一致。题目要求计算法线斜率,学生答案正确。根据评分规则,正确则给满分5分。
题目总分:5分
-1/2
评分及理由
(1)得分及理由(满分5分)
学生给出的答案是“-1/2”,而标准答案是“1/2”。
题目给出的条件是函数 \(f(x)\) 满足 \(f(x+2)-f(x)=x\) 和 \(\int_{0}^{2} f(x) dx = 0\),要求计算 \(\int_{1}^{3} f(x) dx\)。
一种常见的解法是利用函数方程和积分性质:
由 \(f(x+2) - f(x) = x\),可得 \(f(x+2) = f(x) + x\)。
考虑积分 \(\int_{1}^{3} f(x) dx\),将其拆分为 \(\int_{1}^{2} f(x) dx + \int_{2}^{3} f(x) dx\)。
对于第二部分 \(\int_{2}^{3} f(x) dx\),作变量代换 \(t = x-2\),则 \(x = t+2\),积分变为 \(\int_{0}^{1} f(t+2) dt = \int_{0}^{1} [f(t) + t] dt\)。
因此,\(\int_{1}^{3} f(x) dx = \int_{1}^{2} f(x) dx + \int_{0}^{1} f(x) dx + \int_{0}^{1} x dx\)。
又因为 \(\int_{0}^{2} f(x) dx = 0\),即 \(\int_{0}^{1} f(x) dx + \int_{1}^{2} f(x) dx = 0\),所以 \(\int_{1}^{2} f(x) dx = -\int_{0}^{1} f(x) dx\)。
代入上式得:\(\int_{1}^{3} f(x) dx = -\int_{0}^{1} f(x) dx + \int_{0}^{1} f(x) dx + \int_{0}^{1} x dx = \int_{0}^{1} x dx = \frac{1}{2}\)。
学生的答案“-1/2”与正确结果符号相反,属于计算错误或逻辑推导错误。根据题目要求,填空题答案错误则得0分。
因此,本题得分为:0分。
题目总分:0=0分
8
评分及理由
(1)得分及理由(满分5分)
学生给出的答案为“8”,与标准答案完全一致。本题为填空题,仅根据最终答案的正误给分。学生答案正确,因此得5分。
题目总分:5分

评分及理由
(1)得分及理由(满分5分)
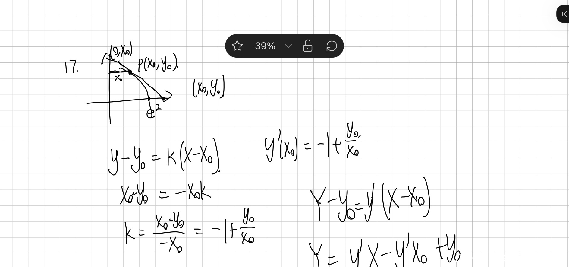
学生作答仅给出了推导切线方程和斜率关系的过程,并得到了导数表达式 \(y'(x_0) = -1 + \frac{y_0}{x_0}\),这等价于微分方程 \(y' - \frac{1}{x}y = -1\)。然而,学生没有继续求解这个微分方程,也没有利用初始条件 \(y(e^2)=0\) 确定特解。因此,解题过程不完整,只完成了建立方程的部分。根据题目分值分配(第一问通常占5分),扣去未完成部分的分数,给予 2分。
(2)得分及理由(满分5分)
学生作答完全没有涉及第二问(求切线与坐标轴围成三角形面积最小的问题)。因此,第二问得分为 0分。
题目总分:2+0=2分

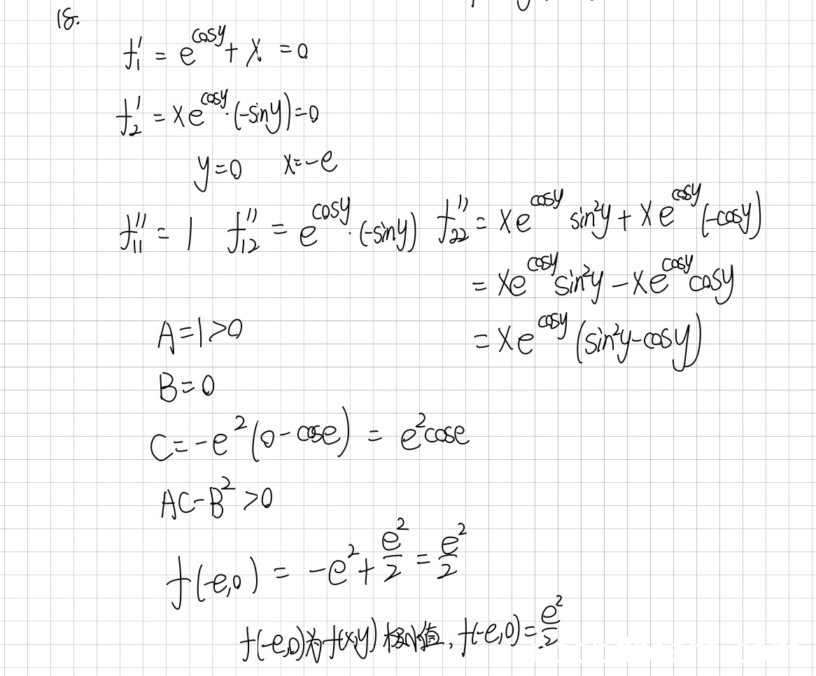
评分及理由
(1)得分及理由(满分12分)
学生作答分为两次识别,其中第二次识别内容完整且逻辑清晰。以下基于第二次识别结果进行评判:
扣分总结:主要扣分点在于二阶偏导数 \(C\) 在驻点处的具体计算错误(将 \(\cos 0 = 1\) 误算为 \(\cos e\)),导致后续判别式数值错误。该错误属于计算错误,非思路错误。根据评分要求,逻辑错误需扣分。因此,在“计算判别式”步骤扣2分,在“判断极值”步骤因结论正确但过程有瑕疵扣1分。其余步骤满分。
本题得分:4 + 2 + 1 + 2 = 9分。
题目总分:9分

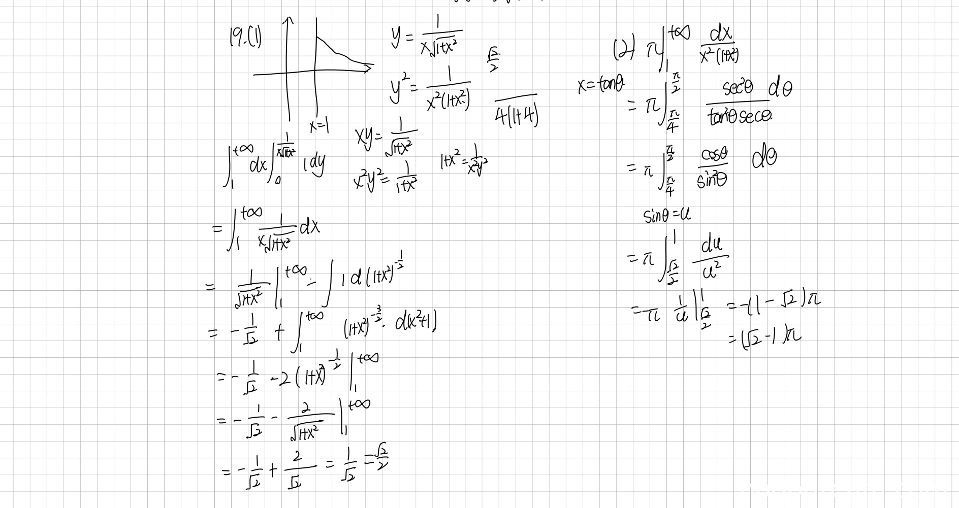
评分及理由
(1)得分及理由(满分6分)
学生答案:面积计算结果为 \(\frac{\sqrt{2}}{2}\)。
标准答案:面积为 \(\ln(1+\sqrt{2})\)。
分析:学生将面积积分错误地写为 \(\int_{1}^{+\infty} \frac{1}{\sqrt{1+x^2}} dx\),而根据题目区域 \(D\),正确的被积函数应为 \(\frac{1}{x\sqrt{1+x^2}}\)。学生的被积函数缺少了分母中的 \(x\),这是一个根本性的逻辑错误,导致后续计算虽然过程复杂但结果错误。因此,本题不能得分。
扣分:由于核心逻辑错误(被积函数错误),扣6分。
得分:0分。
(2)得分及理由(满分6分)
学生答案:体积计算结果为 \((\sqrt{2}-1)\pi\)。
标准答案:体积为 \(\pi(1 - \frac{\pi}{4})\)。
分析:学生正确地写出了旋转体体积公式 \(V = \pi \int_{1}^{+\infty} y^2 dx\),并代入 \(y = \frac{1}{x\sqrt{1+x^2}}\),得到被积函数 \(\frac{1}{x^2(1+x^2)}\)。然而,在第二次识别的文字描述中,积分表达式被误写为 \(\frac{dx}{x^2(1+x)}\)(缺少了 \(x^2\) 的平方),但根据其后续的换元步骤 \(\pi\int \frac{\cos\theta}{\sin^2\theta}d\theta\) 来看,实际计算使用的是正确的被积函数 \(\frac{1}{x^2(1+x^2)}\)。学生的换元法(\(x = \tan\theta\),再令 \(u = \sin\theta\))是可行的,并且计算过程正确,得到了中间结果 \(\pi \int_{\frac{\sqrt{2}}{2}}^{1} \frac{du}{u^2}\)。但是,该积分的正确结果是 \(\pi(1 - \frac{\sqrt{2}}{2})\),而学生计算得出 \(\pi(\sqrt{2}-1)\),说明在最后一步定积分计算时出现错误:
\[-\pi \cdot \frac{1}{u} \bigg|_{\frac{\sqrt{2}}{2}}^{1} = -\pi (1 - \frac{2}{\sqrt{2}}) = -\pi (1 - \sqrt{2}) = \pi (\sqrt{2} - 1)\]
这里学生将 \(\frac{1}{\sqrt{2}/2}\) 错误地算成了 \(\frac{2}{\sqrt{2}} = \sqrt{2}\),但实际上是 \(\frac{2}{\sqrt{2}} = \sqrt{2}\) 没错,代入后应为:
\[-\pi [1 - \sqrt{2}] = \pi(\sqrt{2} - 1)\]
然而,标准答案通过分式分解得到的结果是 \(\pi(1 - \frac{\pi}{4})\),显然 \(\pi(\sqrt{2} - 1) \neq \pi(1 - \frac{\pi}{4})\)。学生的方法虽然思路正确,但计算过程存在错误(可能是代入上下限时符号处理错误,或者更早的换元积分过程有误),导致最终结果错误。因此需要扣分。
扣分:思路正确,但计算错误,扣3分。
得分:3分。
题目总分:0+3=3分

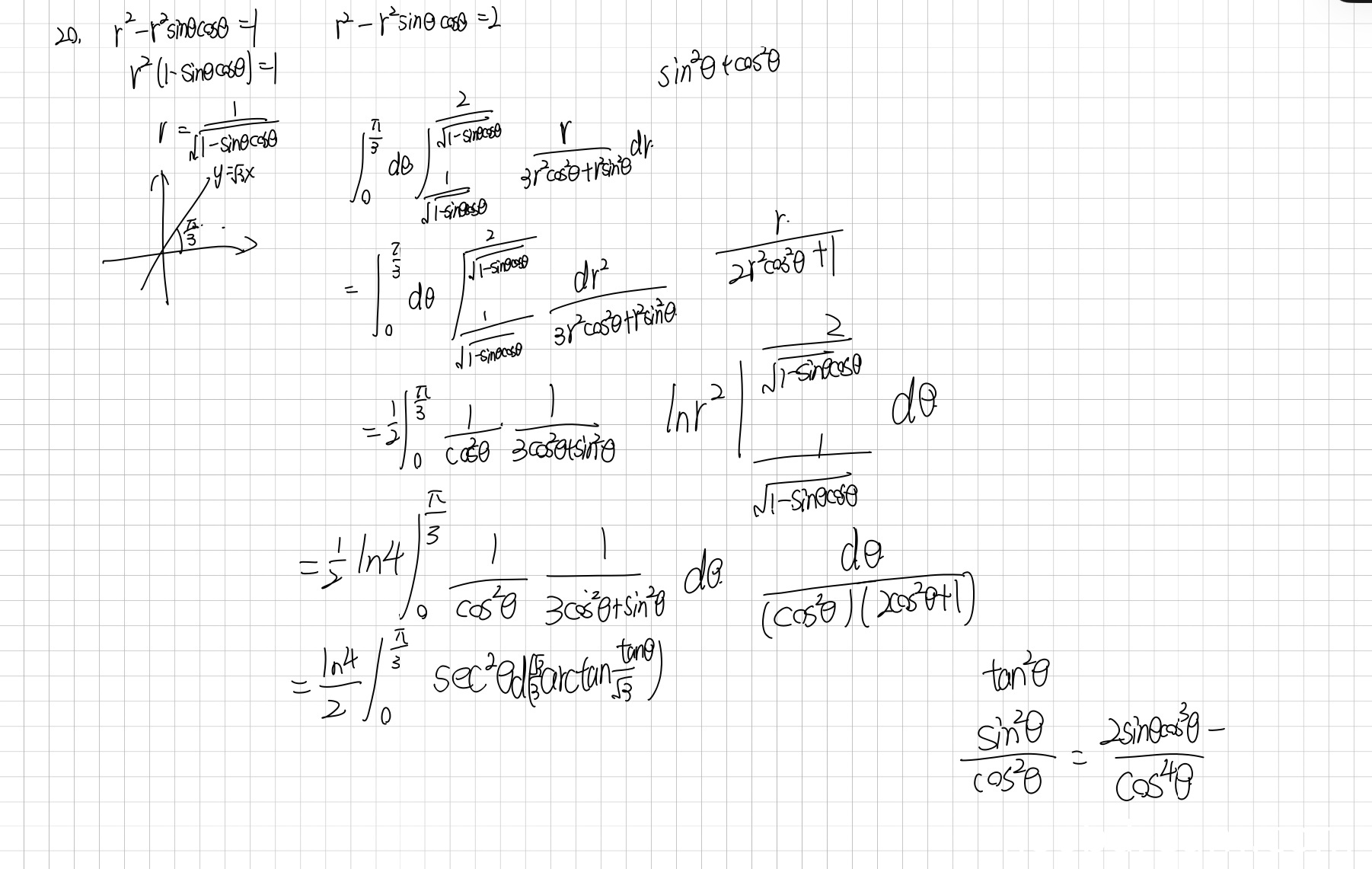
评分及理由
(1)得分及理由(满分12分)
学生作答的整体思路是正确的:将区域边界曲线转化为极坐标方程,确定积分限(θ从0到π/3,r从第一条曲线到第二条曲线),然后代入被积函数进行极坐标变换计算二重积分。这个思路与标准答案一致。
然而,在具体计算过程中存在多处关键性的逻辑错误:
尽管思路正确,但核心的计算逻辑(被积函数的极坐标转换、积分次序、积分运算)存在严重错误,导致最终答案错误。根据打分要求“逻辑错误扣分”,且“思路正确不扣分”不适用于掩盖后续的关键计算错误。因此,本题不能给满分。
考虑到学生正确完成了区域分析、极坐标转换和积分限设定(θ从0到π/3,r的下限和上限表达式本质正确),这些部分体现了对题目核心几何意义的理解,应给予一定的步骤分。但后续计算错误严重,扣分较多。
得分:4分(满分12分)
题目总分:4分

评分及理由
(1)得分及理由(满分0分)
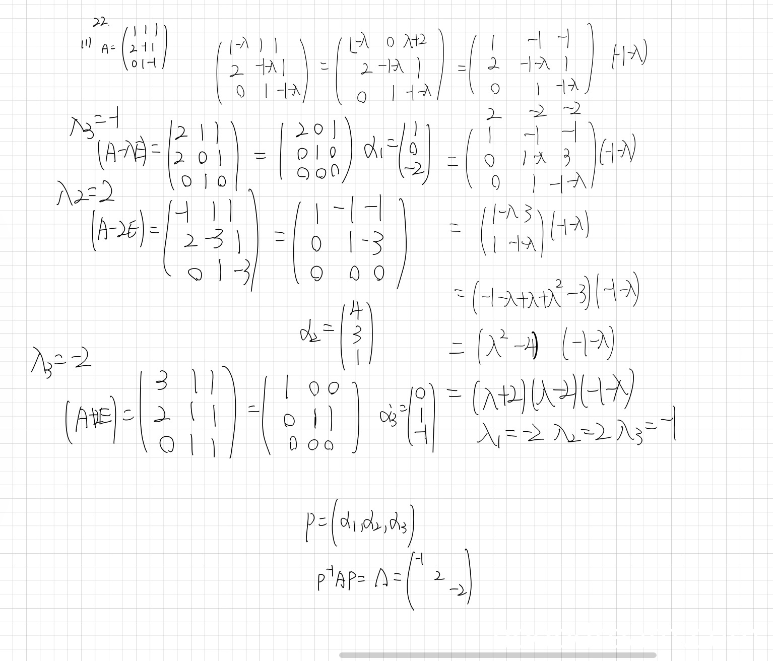
本题第(1)问要求根据线性变换求矩阵A。学生作答中,第1次识别给出的矩阵A为 \(\begin{pmatrix}1&1&1\\2&1&1\\0&1&-1\end{pmatrix}\),第2次识别给出的矩阵A为 \(\begin{pmatrix}1&1&1\\2&1&1\\0&1&1\end{pmatrix}\)。这两个矩阵的第二行第二列元素(1)与标准答案(-1)不同,且第2次识别的第三行第三列元素(1)也与标准答案(-1)不同。根据题目给出的线性变换规则 \(A(x_1, x_2, x_3)^T = (x_1+x_2+x_3, 2x_1-x_2+x_3, x_2-x_3)^T\),矩阵A应为 \(\begin{pmatrix}1 & 1 & 1\\2 & -1 & 1\\0 & 1 & -1\end{pmatrix}\)。学生给出的两个矩阵均不正确,因此第(1)问得0分。
(2)得分及理由(满分12分)
本题第(2)问要求求可逆矩阵P和对角矩阵Λ。虽然学生在第(1)问中写错了矩阵A,但第(2)问的求解过程是基于其自己给出的错误矩阵进行的。评分应基于其第(2)问的求解逻辑是否正确,以及最终得到的P和Λ是否满足 \(P^{-1}AP = Λ\) 且A为其自己给出的矩阵。
首先,学生两次识别的矩阵A不同,导致后续特征值、特征向量和P矩阵均不一致,这本身是严重的逻辑不一致错误。其次,即使分开看两次识别:
综合来看,学生的第(2)问解答存在根本性的逻辑错误(基于错误的矩阵A或错误的特征值/特征向量进行计算),无法得到正确结果。因此,第(2)问得0分。
题目总分:0+0=0分