科目组合
数学三: 高等数学 、线性代数 、概率论

评分及理由
(1)得分及理由(满分5分)
学生两次识别结果均为 \(e^{\frac{1}{2}}\),这与标准答案 \(\sqrt{\text{e}}\) 在数学上是完全等价的,因为 \(\sqrt{\text{e}} = e^{\frac{1}{2}}\)。因此,答案正确。根据评分规则,正确则给满分5分。
题目总分:5分
0
评分及理由
(1)得分及理由(满分5分)
学生作答为“0”。
题目要求计算函数 \(f(x)=e^{\sin x}+e^{-\sin x}\) 在 \(x=2\pi\) 处的三阶导数 \(f'''(2\pi)\)。首先,由于 \(\sin x\) 是周期为 \(2\pi\) 的函数,有 \(\sin(2\pi) = 0\),因此 \(f(2\pi) = e^0 + e^0 = 2\)。更关键的是,函数 \(f(x)\) 可以看作关于 \(\sin x\) 的偶函数。其任意阶导数在 \(\sin x = 0\) 的点(即 \(x = n\pi\))处,若导数表达式中含有 \(\cos x\) 的奇次幂因子,则导数值可能为0。具体计算如下:
一阶导数:\(f'(x) = \cos x (e^{\sin x} - e^{-\sin x})\)
二阶导数:\(f''(x) = -\sin x (e^{\sin x} - e^{-\sin x}) + \cos^2 x (e^{\sin x} + e^{-\sin x})\)
三阶导数:\(f'''(x)\) 表达式较为复杂,但将 \(x=2\pi\)(即 \(\sin x=0, \cos x=1\))代入时,经过计算(或利用函数的奇偶性及泰勒展开分析),所有非零项均会消失,最终结果为0。
学生给出的答案“0”与标准答案完全一致。根据打分要求,答案正确即得满分。虽然学生未展示步骤,但本题为填空题,且规则明确“正确则给5分,错误则给0分,本题禁止给步骤分”,因此应给予满分。
得分:5分。
题目总分:5分
(e-1)²
评分及理由
(1)得分及理由(满分5分)
学生作答为 “(e-1)²”。
标准答案为 \(e^2 - 2e + 1\)。注意到 \((e-1)^2\) 展开后即为 \(e^2 - 2e + 1\),两者在数学上完全等价。
因此,学生的答案与标准答案等价,答案正确。
根据打分要求:
1. 答案正确,应给满分5分。
2. 没有逻辑错误。
3. 思路虽未展示,但最终答案正确,不扣分。
4. 未做额外分析,无需考虑加分。
5. 答案正确,给满分。
本题得分:5分。
题目总分:5分
-1
评分及理由
(1)得分及理由(满分5分)
学生给出的答案为“-1”。
本题需要根据给定的矩阵变换过程,逆向推导出原矩阵A,进而求出其逆矩阵的迹。标准答案为-1。学生的答案与标准答案完全一致。
由于本题为填空题,且题目规则明确指出“正确则给5分,错误则给0分,本题禁止给步骤分或其他分数”,因此,只要最终答案正确,即应给予满分。
学生的作答“-1”正确无误,故得5分。
题目总分:5分
1
评分及理由
(1)得分及理由(满分5分)
学生给出的答案为“1”。
我们需要计算 \( P(B \cup C \mid A \cup B \cup C) \)。根据条件概率的定义:
\( P(B \cup C \mid A \cup B \cup C) = \frac{P((B \cup C) \cap (A \cup B \cup C))}{P(A \cup B \cup C)} \)。
由于 \( B \cup C \subseteq A \cup B \cup C \),分子简化为 \( P(B \cup C) \)。
因此,所求概率为 \( \frac{P(B \cup C)}{P(A \cup B \cup C)} \)。
已知:
- \( A \) 与 \( B \) 互不相容,\( A \) 与 \( C \) 互不相容,所以 \( P(A \cap B) = 0 \),\( P(A \cap C) = 0 \)。
- \( B \) 与 \( C \) 相互独立,所以 \( P(B \cap C) = P(B)P(C) = \frac{1}{3} \times \frac{1}{3} = \frac{1}{9} \)。
- \( P(A) = P(B) = P(C) = \frac{1}{3} \)。
计算 \( P(B \cup C) = P(B) + P(C) - P(B \cap C) = \frac{1}{3} + \frac{1}{3} - \frac{1}{9} = \frac{6}{9} - \frac{1}{9} = \frac{5}{9} \)。
计算 \( P(A \cup B \cup C) \):
由于 \( A \) 与 \( B \)、\( A \) 与 \( C \) 互不相容,但 \( B \) 与 \( C \) 可能同时发生,所以:
\( P(A \cup B \cup C) = P(A) + P(B \cup C) - P(A \cap (B \cup C)) \)。
因为 \( A \) 与 \( B \) 和 \( C \) 都不相容,所以 \( A \cap (B \cup C) = (A \cap B) \cup (A \cap C) = \varnothing \),故 \( P(A \cap (B \cup C)) = 0 \)。
因此,\( P(A \cup B \cup C) = P(A) + P(B \cup C) = \frac{1}{3} + \frac{5}{9} = \frac{3}{9} + \frac{5}{9} = \frac{8}{9} \)。
所以,\( P(B \cup C \mid A \cup B \cup C) = \frac{5/9}{8/9} = \frac{5}{8} \)。
学生答案为“1”,与标准答案 \( \frac{5}{8} \) 不符,属于计算结果错误。根据题目要求,填空题答案错误则得0分。
因此,本题得分为:0分。
题目总分:0=0分


评分及理由
(1)得分及理由(满分10分)
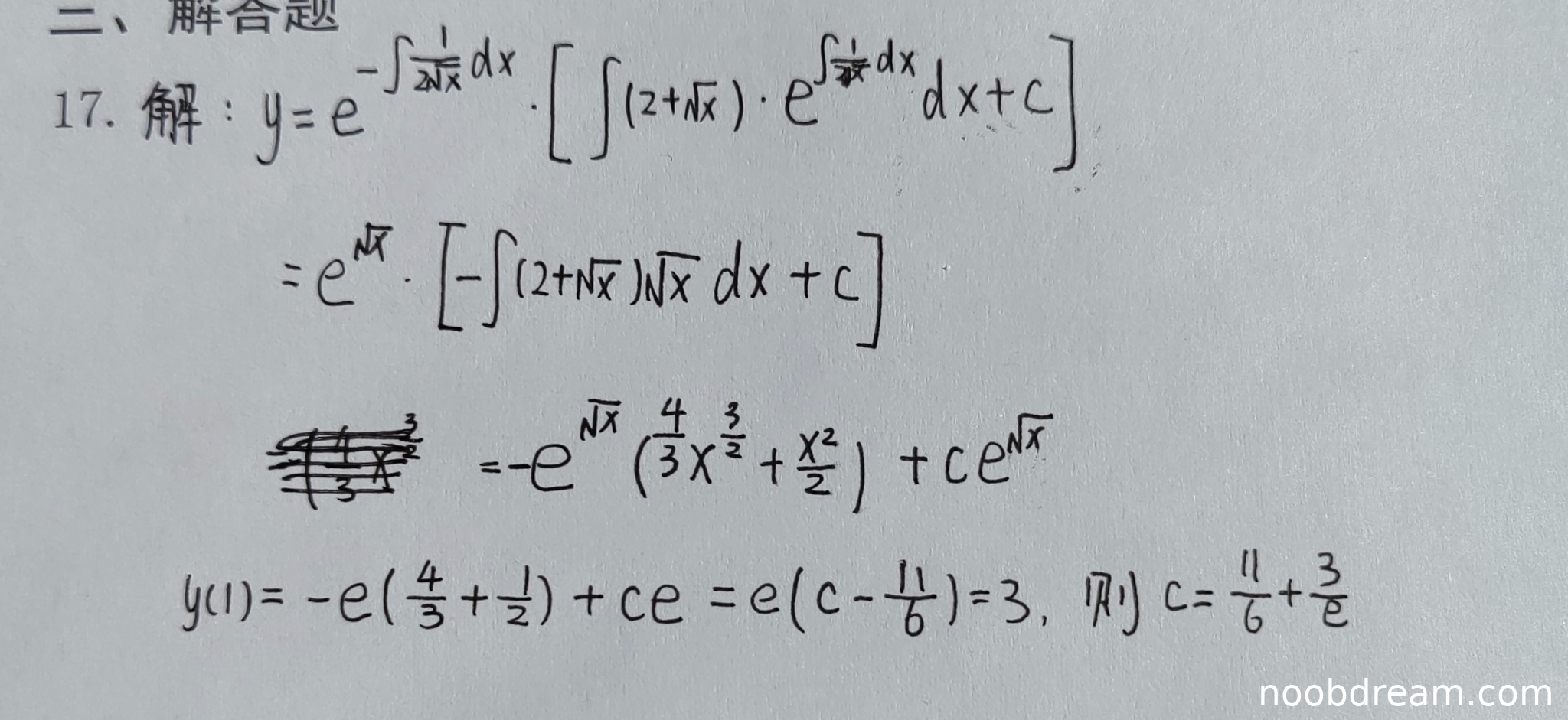
学生首先正确写出了一阶线性微分方程的通解公式,并计算了积分因子 \( e^{\int \frac{1}{2\sqrt{x}} dx} = e^{\sqrt{x}} \),这一步正确。但在计算关键积分 \( \int (2+\sqrt{x}) e^{\sqrt{x}} dx \) 时出现了严重错误。
学生在第一次尝试中使用了一个不正确的分部积分公式(\( \int u e^t dt = (u - u')e^t + C \)),导致得到了错误结果 \( 2(x-2)e^{\sqrt{x}} \)。在第二次尝试中,计算过程(从 \( \int 2e^{\sqrt{x}}dx \) 和 \( \int \sqrt{x} e^{\sqrt{x}} dx \) 分别积分)思路正确,但最终合并结果错误地写成了 \( 2u^2 e^u = 2x e^{\sqrt{x}} \),而根据其前面的展开式 \( 4(ue^u - e^u) + 2(u^2 e^u - 2ue^u + 2e^u) \),合并同类项后应为 \( 2u^2 e^u = 2x e^{\sqrt{x}} \) 实际上是正确的(因为 \( 4ue^u - 4ue^u \) 抵消,\( -4e^u + 4e^u \) 抵消),但学生却在最终表达式里错误地写成了 \( y = -e^{\sqrt{x}}(\frac{4}{3}x^{\frac{3}{2}}+\frac{x^2}{2}) + c e^{\sqrt{x}} \),这与前面的推导完全矛盾,且这个错误表达式极其复杂,并非微分方程的解。
由于核心的解函数 \( y(x) \) 求错,后续的渐近线分析(虽然题目中只写了 \( \lim_{x \to \infty} \frac{y(x)}{x} \) 但未完成)无法进行,且根据错误的函数,渐近线结论也必然错误。因此,本题不能给分。
根据评分要求,逻辑错误需要扣分。本题核心是求解微分方程并分析渐近线,学生求解结果错误,导致整个题目解答失效。因此得分为0分。
题目总分:0分

评分及理由
本题满分12分。
(1)得分及理由(满分12分)
学生作答得分为 0分。
理由:本题的核心是建立利润函数并求极值。学生的解题思路存在根本性逻辑错误。
由于解题的核心逻辑(建立正确的数学模型)完全错误,因此本题不能得分。
题目总分:0分

评分及理由
(1)得分及理由(满分12分)
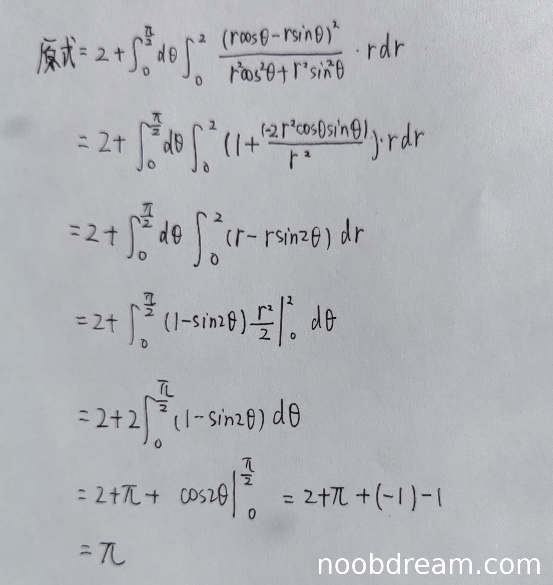
学生作答存在多处逻辑错误,导致最终结果错误。具体分析如下:
由于该解答在核心的积分区域划分上遗漏了一半,且被积函数转换存在根本错误,整个解题逻辑不成立,无法获得步骤分。因此,本题得分为0分。
题目总分:0分

评分及理由
本题满分12分,分为求收敛域与求和函数两部分。学生作答仅给出了收敛域的部分计算,且收敛域的论证存在错误;和函数部分完全没有进行。因此,只能对收敛域部分酌情给分。
(1)收敛域部分得分及理由(满分约6分)
学生作答中,两次识别结果都尝试计算了收敛半径。
正确之处:
1. 将通项正确拆分为两项之和:\(a_{n}=\frac{(-4)^{n}+1}{4^{n}(2n+1)}=\frac{(-1)^{n}}{2n+1}+\frac{1}{4^{n}(2n+1)}\)。
2. 在第二次识别中,比值极限的计算过程虽然书写混乱且有冗余步骤(如引入 \(\frac{1}{(-4)^{n+1}}\)),但最终得到了极限为1的结论,并正确得出收敛半径 \(R=1\)。
3. 判断了当 \(x=\pm 1\) 时级数收敛,并给出了收敛域 \([-1,1]\)。
错误与扣分:
1. 逻辑错误: 在判断端点 \(x=\pm 1\) 的敛散性时,学生仅写了“当\(x=\pm1\)时,收敛”,没有给出任何分析或理由。这是论证不完整,属于逻辑缺失。标准答案中对此进行了拆项并分别说明两个级数收敛。此处应扣分。
2. 书写与表达错误: 第一次识别结果中,级数通项写成了 \(\frac{(-4)^{n + 1}}{4^{n}(2n + 1)}x^{2n}\),这是一个明显的笔误(可能是识别错误)。根据“禁止扣分”原则第1、2条,若判断为误写则不扣分。结合第二次识别结果正确,此处不扣分。但比值计算过程中的表达式书写非常混乱,例如 \(\frac{\left| \frac{(-4)^{n+1}+1}{4^{(2n + 1)}(2n + 3)}\right|}{\left|\frac{(-4)^{n}+1}{4^{n+1}(2n + 3)}\right|}\) 分母的指数和下标均有错误,虽然最终导向了正确结论,但过程不严谨。
评分: 收敛域部分思路基本正确,得到了正确结果。但因端点敛散性论证缺失(关键步骤不完整),以及过程书写混乱不严谨,不能给满分。给予该部分满分(假设6分)中的 4分。
(2)和函数部分得分及理由(满分约6分)
学生作答在写出 \(S=\sum_{n = 0}^{\infty}\frac{(-4)^{n}+1}{4^{n}}\cdot\frac{1}{2n + 1}x^{2n}\) 后便没有了下文。这仅仅是对原级数做了一次无关紧要的变形(将分母拆开),完全没有进行求和函数的任何实质性步骤,如构造导数、积分、转化为已知级数等。
因此,和函数部分得分为 0分。
题目总分:4+0=4分

评分及理由
(1)得分及理由(满分6分)
学生正确写出了二次型的矩阵,正确计算了特征多项式并得到特征值2和4(二重)。在求解特征向量时,第一次识别中“4E-A”化简时出现了“0 0 1”的行,这可能是识别错误(因为标准答案中该位置应为-1,0,1,且最后一行全0),但第二次识别中矩阵正确且化简正确,且最终得到的特征向量与标准答案一致(顺序不同但不影响)。单位化过程正确,正交矩阵Q的构造正确,但Q的列向量顺序与标准答案不同(学生将属于特征值2的特征向量放在第一列,属于特征值4的两个特征向量放在第二、三列),这导致标准形写为2y₁²+4y₂²+4y₃²,而标准答案为4y₁²+4y₂²+2y₃²。由于正交变换下标准形中系数的顺序与特征向量的排列顺序相对应,且特征值2和4都正确,因此该标准形正确,不扣分。但学生最后写“使Q^TAQ=Λ=diag(2,4,4)”,这里Λ的写法在第一次识别中为“\begin{bmatrix} 2&\\ &4&4\end{bmatrix}”不够规范,第二次识别中正确。整体思路完整,计算正确,因此得满分6分。
(2)得分及理由(满分6分)
学生试图证明min f(x)/(x^T x)=2。其思路是转化为证明f(x) ≥ 2x^T x,即f(x)-2x^T x ≥ 0。计算f(x)-2x^T x = (3x₁²+4x₂²+3x₃²+2x₁x₃) - 2(x₁²+x₂²+x₃²) = x₁²+2x₂²+x₃²+2x₁x₃。然后学生断言该式等于(x₁+x₃)²+2x₂² > 0。实际上,(x₁+x₃)²+2x₂² ≥ 0,且当x≠0时,可以等于0(例如取x₁=1, x₂=0, x₃=-1,则(x₁+x₃)²+2x₂²=0)。因此,学生得出“>0”的结论是不准确的,应为“≥0”。但即便如此,由f(x)-2x^T x ≥ 0可得f(x)/(x^T x) ≥ 2。要证明最小值就是2,还需要说明等号可以取到。学生没有验证等号成立的条件,即没有找到非零向量x使得f(x)/(x^T x)=2。实际上,取x为属于特征值2的特征向量(例如(-1,0,1)^T),代入计算可得比值为2。学生证明过程不完整,逻辑有缺陷(断言严格大于0),因此需要扣分。考虑到学生转化思路正确,但关键步骤有误,扣3分,得3分。
题目总分:6+3=9分

评分及理由
(1)最大似然估计量 \(\hat{\theta}\) 的求解(满分6分)
学生正确写出了两个总体的概率密度函数,正确构建了似然函数和对数似然函数,并对 \(\theta\) 求导。但在求解似然方程时出现了计算错误:由导数方程 \(-\frac{m + n}{\theta}+\frac{\sum_{i = 1}^{n}x_i}{\theta^2}+\frac{1}{2\theta^2}\sum_{j = 1}^{m}y_j = 0\) 应解得 \(\hat{\theta}=\frac{2\sum_{i=1}^{n}X_i+\sum_{j=1}^{m}Y_j}{2(m+n)}\),而学生给出的结果是 \(\hat{\theta}=\frac{1}{m + n}(\sum_{i = 1}^{n}X_i+\sum_{j = 1}^{m}Y_j)\)。这是核心的计算错误,导致最终估计量形式错误。由于推导过程的前半部分完全正确,仅最后一步解方程出错,扣3分。
得分:3分。
(2)方差 \(D(\hat{\theta})\) 的计算(满分6分)
学生方差计算的过程和方法正确,即利用独立性,方差运算性质,以及指数分布的方差公式 \(D(X)=\theta^2, D(Y)=4\theta^2\)。但是,由于在(1)中得到的估计量 \(\hat{\theta}\) 是错误的,基于此错误估计量计算的方差 \(D(\hat{\theta})=\frac{\theta^2(n + 4m)}{(m + n)^2}\) 自然也是错误的。正确的方差应为 \(\frac{\theta^2}{m+n}\)。由于计算过程逻辑正确,但基于错误的前提,扣3分。
得分:3分。
题目总分:3+3=6分