2008年考研数学(二)考试试题 - 第17题回答
高等数学
发布于2025年7月28日 18:21
阅读数 638

1/4+(pi^2)/16
评分及理由
(1)得分及理由(满分10分)
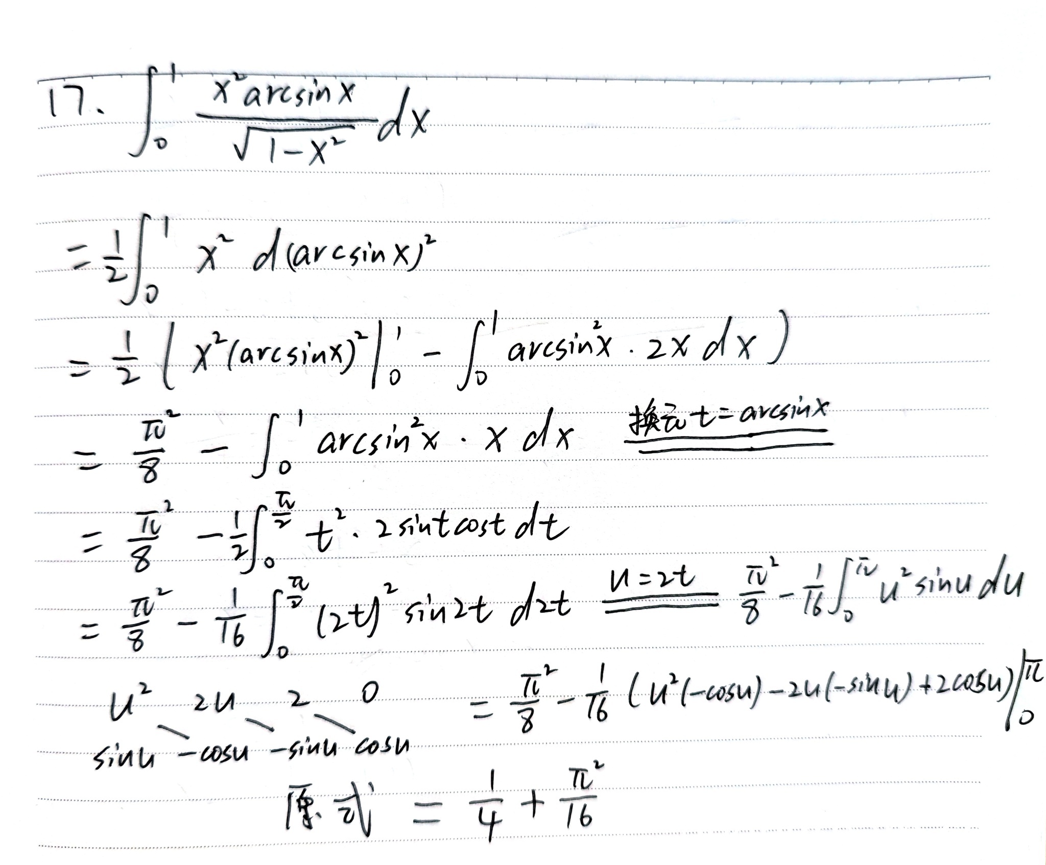
学生通过两种不同的识别结果均给出了正确的解答过程,且最终结果与标准答案一致。具体步骤如下:
- 第一次识别结果:学生使用了分部积分法和换元法,逻辑清晰,计算正确,最终结果为\(\frac{1}{4} + \frac{\pi^{2}}{16}\)。
- 第二次识别结果:学生详细展示了凑微分、分部积分法、换元法以及再次分部积分法的步骤,逻辑严谨,计算无误,最终结果同样为\(\frac{1}{4} + \frac{\pi^{2}}{16}\)。
因此,给予满分10分。
题目总分:10分
登录后发布评论
暂无评论,来抢沙发