文章

18

粉丝

0

获赞

3

访问

14.6k

头像
2025年合工大超越5+5套卷模拟试卷(一) - 第20题回答
高等数学
发布于2025年9月20日 23:11
阅读数 1.1k


评分及理由

(1)得分及理由(满分12分)

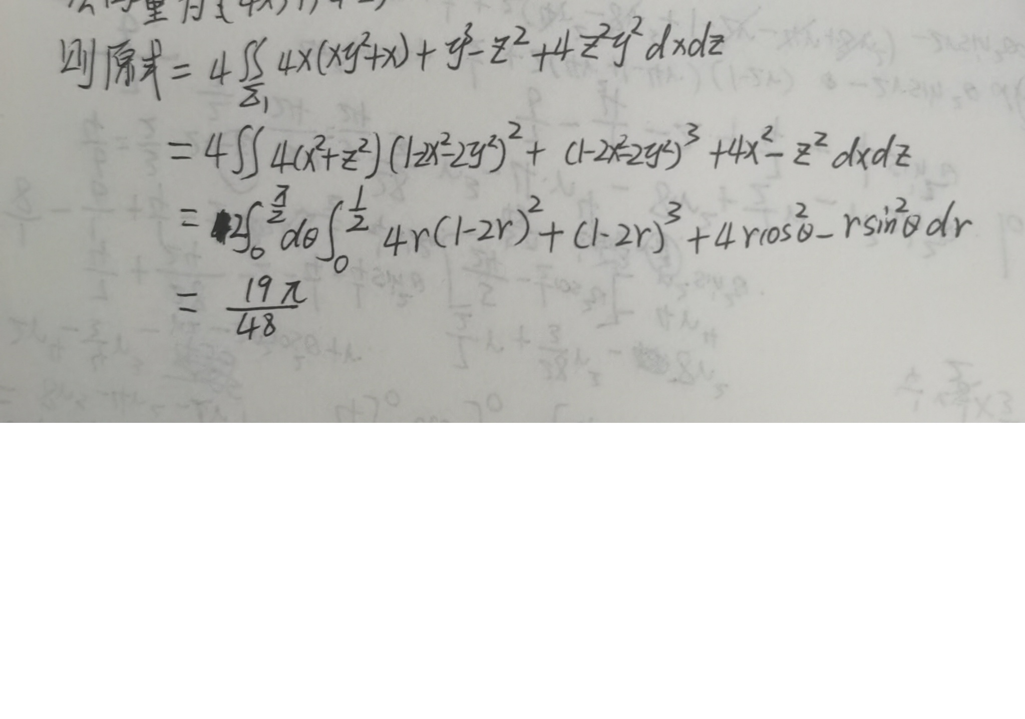
学生作答直接对原曲面积分进行参数化计算,未采用高斯公式和补充曲面的标准方法。虽然最终答案正确(\(\frac{19\pi}{48}\)),但过程中存在逻辑错误:

  • 第一步转化中,表达式“\(4\iint_{\Sigma_1} 4x(x y^2 + x) + y^3 - z^2 + 4z^2 y^2 dxdz\)”缺乏推导依据,且\(\Sigma_1\)未定义(标准答案中\(\Sigma_1\)是补充平面,但这里学生似乎误用了符号),导致逻辑链断裂。
  • 参数化时,积分区域错误:曲面\(\Sigma: y=1-2x^2-2z^2\)在\(x-z\)平面投影应为椭圆\(2x^2+2z^2 \leq 1\)(即\(x^2+z^2 \leq 1/2\)),但学生直接使用极坐标从0到1/2,未体现椭圆对称性(应全象限积分,但学生限定了\(\theta \in [0, \pi/2]\),仅第一象限),然而最终结果正确,可能误打误撞或计算中隐含对称性。
  • 被积函数化简复杂,且步骤跳跃(如直接写出极坐标形式),缺乏严谨性。

尽管答案正确,但方法非标准且关键步骤逻辑错误,扣分。根据打分要求“逻辑错误扣分”,扣3分(满分12分)。得分:9分。

题目总分:9分

登录查看完整内容


登录后发布评论

暂无评论,来抢沙发