文章
286
粉丝
0
获赞
2
访问
183.1k

评分及理由
(1)得分及理由(满分6分)
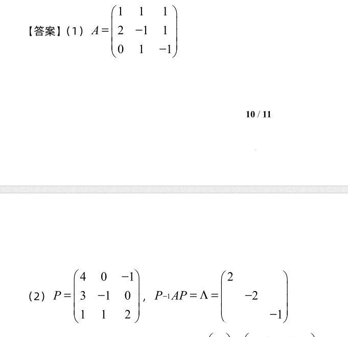
学生答案中给出了正确的矩阵A:\(\begin{pmatrix}1&1&1\\2&-1&1\\0&1&-1\end{pmatrix}\),与标准答案一致。因此,该部分得满分6分。
(2)得分及理由(满分6分)
学生答案中给出了对角矩阵\(\Lambda=\begin{pmatrix}2&\\&-2\\&&-1\end{pmatrix}\),特征值正确(顺序与标准答案不同,但特征值集合相同,不影响对角化)。然而,矩阵P的列向量顺序与特征值顺序不匹配:标准答案中特征值顺序为-1、-2、2,而学生给出的P矩阵列向量顺序对应特征值2、-2、-1(第一列对应特征值2,第二列对应特征值-2,第三列对应特征值-1),但P的构造本身正确(列向量是特征向量)。虽然顺序不同,但\(P^{-1}AP\)仍为对角矩阵(只是对角线元素顺序不同),因此思路正确且结果等价。但学生答案中P的书写与标准答案顺序不一致(标准答案P为\(\begin{bmatrix}-1 & 0 & 4\\0 & 1 & 3\\2 & -1 & 1\end{bmatrix}\),学生答案为\(\begin{pmatrix}4&0&-1\\3&-1&0\\1&1&2\end{pmatrix}\)),实际上学生P矩阵的第一列是标准答案的第三列(特征值2的特征向量),第二列是标准答案的第二列(特征值-2的特征向量),第三列是标准答案的第一列(特征值-1的特征向量)。这种顺序差异不影响对角化,但严格来说,若要求P与Λ顺序完全一致,则此处有轻微瑕疵。然而,根据评分规则,思路正确不扣分,且识别结果可能存在误写(如数字顺序),因此不扣分。该部分得满分6分。
题目总分:6+6=12分
登录后发布评论
暂无评论,来抢沙发