文章
205
粉丝
0
获赞
0
访问
113.6k

评分及理由
(1)得分及理由(满分5分)
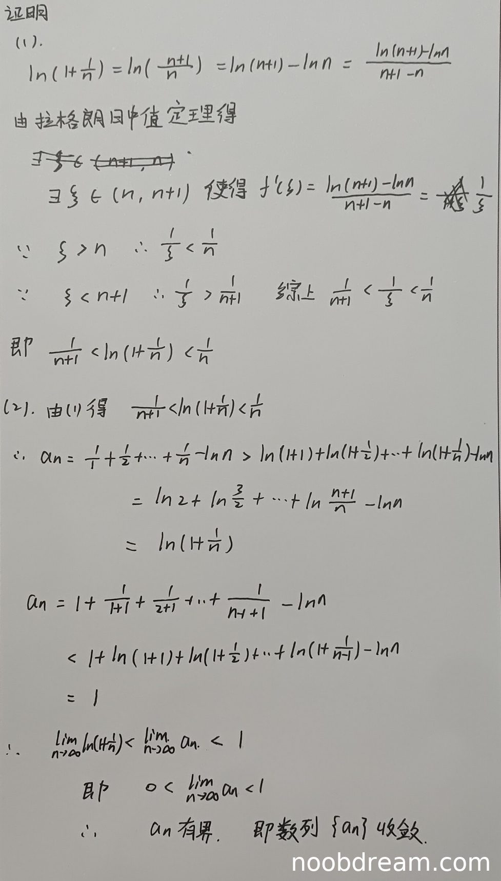
学生使用拉格朗日中值定理证明不等式,思路正确且完整。具体地,令f(x)=ln x,在区间[n, n+1]上应用拉格朗日中值定理,得到存在ξ∈(n, n+1)使得f'(ξ)=1/ξ=(ln(n+1)-ln n)/((n+1)-n),进而由n<ξ (2)得分及理由(满分5分) 学生证明数列收敛时存在逻辑错误。首先,在证明单调性时,学生未说明a_{n+1}-a_n的符号(应为负,由(1)中ln(1+1/n)>1/(n+1)可得a_{n+1}-a_n<0,即单调递减),但学生直接跳过了这一关键步骤。其次,在证明有下界时,学生写出a_n > ln(1+1/n)(实际上应为a_n > ln(n+1)-ln n = ln(1+1/n)),但ln(1+1/n)随n增大趋于0,不能直接说明a_n有下界(大于0只是下界的一部分,但需说明下界固定)。学生进一步写出a_n < 1,但推导有误:学生写a_n = 1 + 1/2 + ... + 1/(n+1) - ln n(识别中为"1 + 1/(1+1) + 1/(2+1) + ... + 1/(n+1) - ln n",即从1/2加到1/(n+1)),这实际上不是a_n的定义(a_n应是从1/1加到1/n),此处可能是识别错误或笔误,但导致逻辑错误。学生试图用放缩得到a_n < 1,但步骤错误(例如,用ln(1+1/k) < 1/k放缩求和,但未正确叠加)。最后,学生错误地写出lim_{n→∞} ln(1+1/n) < lim_{n→∞} a_n < 1,并得出有界性,但极限存在性未证明(收敛性需由单调有界定理保证,但学生未证明单调性,且下界论证不严谨)。因此,本部分存在多处逻辑错误,扣3分,得2分。 题目总分:5+2=7分
登录后发布评论
暂无评论,来抢沙发