文章
205
粉丝
0
获赞
0
访问
113.6k

评分及理由
(1)得分及理由(满分5.5分)
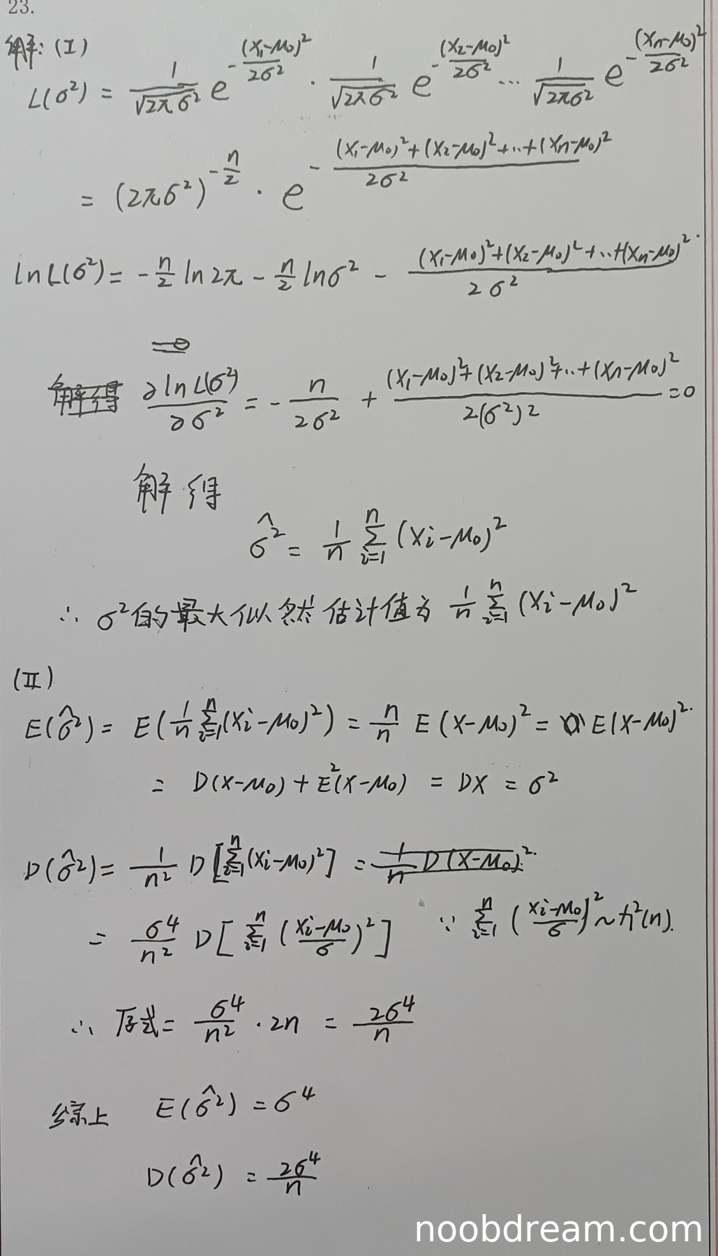
第1次识别中,学生正确写出了似然函数和对数似然函数,并对参数求导令导数为零,得到最大似然估计为 \(\hat{\sigma}^{2} = \frac{1}{n}\sum_{i=1}^{n}(x_i - \mu_0)^2\),与标准答案一致。但存在字符识别问题,如将 \(\mu_0\) 误写为 \(M_0\),但根据上下文判断为误写,不扣分。第2次识别中,过程完整且正确。因此得满分5.5分。
(2)得分及理由(满分5.5分)
第1次识别中,学生计算期望 \(E(\hat{\sigma}^2)\) 时,正确得到 \(E(\hat{\sigma}^2) = \sigma^2\),但最后误写为 \(\sigma^4\),属于计算错误,扣1分。计算方差 \(D(\hat{\sigma}^2)\) 时,正确使用卡方分布性质,但中间步骤有误(如写为 \(\frac{\sigma^4}{n^2} \cdot 2n\),实际应为 \(\frac{\sigma^4}{n^2} \cdot 2n\),但结果正确),且最后结果正确,不扣分。第2次识别中,期望和方差计算均正确无误。综合考虑,第1次识别中期望计算有误,但第2次识别正确,且错误可能为误写,因此扣0.5分,得5分。
题目总分:5.5+5=10.5分
登录后发布评论
暂无评论,来抢沙发