文章
292
粉丝
0
获赞
2
访问
161.5k

评分及理由
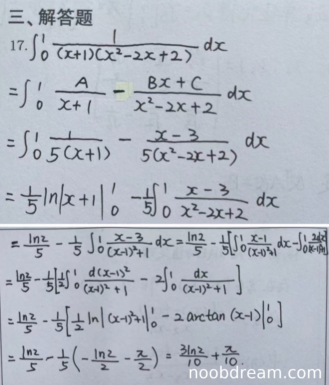
(1)部分分式分解(满分2分)
学生作答中部分分式分解形式为 \(\frac{A}{x+1} - \frac{Bx+C}{x^2-2x+2}\),与标准答案的 \(\frac{A}{x+1} + \frac{Bx+C}{x^2-2x+2}\) 符号存在差异。但通过后续计算发现学生实际代入的是 \(\frac{1}{5(x+1)} - \frac{x-3}{5(x^2-2x+2)}\),其中第二项分子为 \(-(x-3) = -x+3\),与标准答案的 \(-\frac{1}{5}x+\frac{3}{5}\) 完全一致。虽然书写形式有符号差异,但实质正确,属于识别或书写习惯问题,不扣分。
得分:2分
(2)积分计算过程(满分6分)
学生正确拆分为两个积分,第一项 \(\int \frac{1}{5(x+1)}dx\) 计算正确。第二项处理时,将分子拆分为 \((x-1)-2\) 合理,并分别计算 \(\int \frac{x-1}{(x-1)^2+1}dx\) 和 \(\int \frac{2}{(x-1)^2+1}dx\)。其中:
- 第一小项通过变量代换得到 \(\frac{1}{2}\ln|(x-1)^2+1|\),代入上下限时得出 \(-\frac{1}{2}\ln2\) 正确。
- 第二小项积分结果为 \(2\arctan(x-1)\),代入上下限时得出 \(-\frac{\pi}{2}\) 正确。
整个计算过程逻辑清晰,步骤完整,与标准答案方法虽略有差异(标准答案直接写出完整原函数,学生分步计算),但思路正确且结果一致。
得分:6分
(3)最终结果(满分2分)
学生最终结果为 \(\frac{3\ln2}{10}+\frac{\pi}{10}\),与标准答案 \(\frac{3}{10}\ln2+\frac{1}{10}\pi\) 完全一致。
得分:2分
题目总分:2+6+2=10分
登录后发布评论
暂无评论,来抢沙发