文章
292
粉丝
0
获赞
2
访问
161.6k

评分及理由
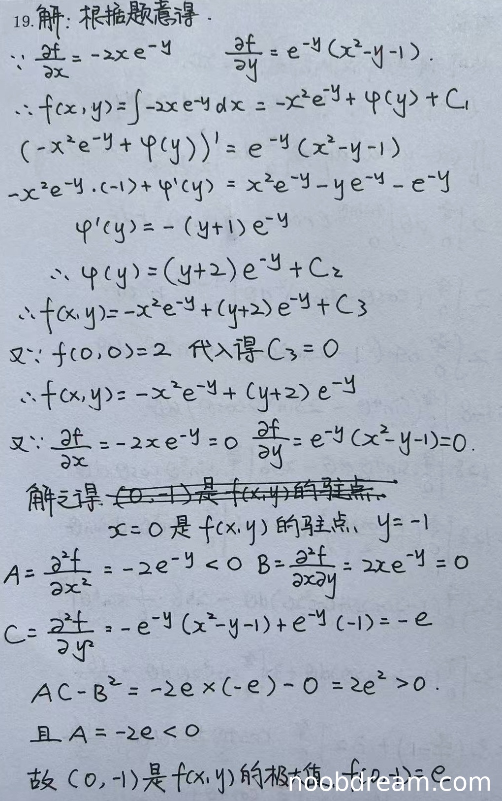
(1)求函数表达式得分及理由(满分6分)
学生作答中,通过偏积分法正确求出函数表达式,步骤清晰,与标准答案一致。但在第一次识别结果中,积分时出现了多余的常数C1,但在后续代入条件时正确消去,不影响最终结果。第二次识别结果中步骤更规范。根据“逻辑错误扣分”原则,此处虽有微小不规范,但未影响核心逻辑,且最终结果正确,故不扣分。得6分。
(2)求驻点得分及理由(满分3分)
学生正确求解偏导数为零的方程组,得到驻点(0,-1),过程完整无误。得3分。
(3)判断极值得分及理由(满分3分)
学生正确计算二阶偏导数A、B、C,并代入驻点计算判别式AC-B²>0且A<0,得出极大值结论,计算f(0,-1)=e正确。但在第一次识别结果中,计算C时写为“-e^{-y}(x²-y-1)+e^{-y}(-1)”,实际应为对f_y再求导,标准答案为e^{-y}(x²-y),但代入点后结果正确(-e),属于表达不规范但计算无误。根据“误写不扣分”原则,不扣分。得3分。
题目总分:6+3+3=12分
登录后发布评论
暂无评论,来抢沙发