文章
135
粉丝
93
获赞
1
访问
59.8k

评分及理由
(1)得分及理由(满分3分)
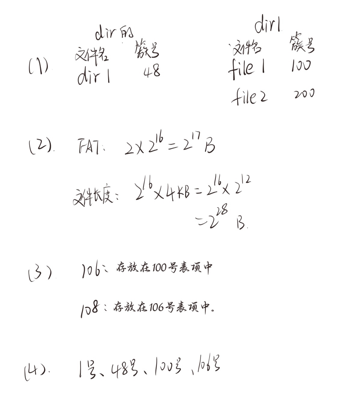
学生答案中给出了dir目录文件的内容(文件名dir1,簇号48)和dir1目录文件的内容(文件名file1,簇号100;文件名file2,簇号200)。这与标准答案一致。虽然第一次识别结果中出现了“dirl”的拼写错误,但根据上下文可以判断为“dir1”的误写,属于识别问题,不扣分。因此,本题得分为3分。
(2)得分及理由(满分2分)
学生答案中计算FAT最大长度为2¹⁷B,即128KB,与标准答案一致。计算文件最大长度为2²⁸B,即256MB,也与标准答案一致。因此,本题得分为2分。
(3)得分及理由(满分2分)
学生答案中指出簇号106存放在FAT的100号表项中,簇号108存放在106号表项中,这与标准答案完全一致。因此,本题得分为2分。
(4)得分及理由(满分2分)
学生答案中列出需要访问的簇号为1号、48号、100号、106号。标准答案为48号簇和106号簇。分析过程:要读取文件dir/dir1/file1的第5000个字节,首先需要找到file1的目录项,该目录项位于dir1目录文件中。而dir1目录文件位于48号簇(根据dir目录文件内容),因此需要访问48号簇以获取file1的起始簇号100。第5000字节位于第2个簇(簇大小4KB,5000 > 4096),根据FAT链100->106->108,第二个簇是106号簇。因此,只需访问48号簇和106号簇。学生答案中多出了1号簇和100号簇。1号簇的访问理由不明确(可能是根目录,但题目未明确根目录位置),100号簇是第一个簇,但读取5000字节时第一个簇已包含在前4096字节内,无需再次访问(因为FAT已在内存,可直接计算簇链)。因此,学生答案中包含了不必要的簇号,存在逻辑错误,扣1分。本题得分为1分。
题目总分:3+2+2+1=8分
登录后发布评论
暂无评论,来抢沙发