文章
202
粉丝
0
获赞
0
访问
78.6k

评分及理由
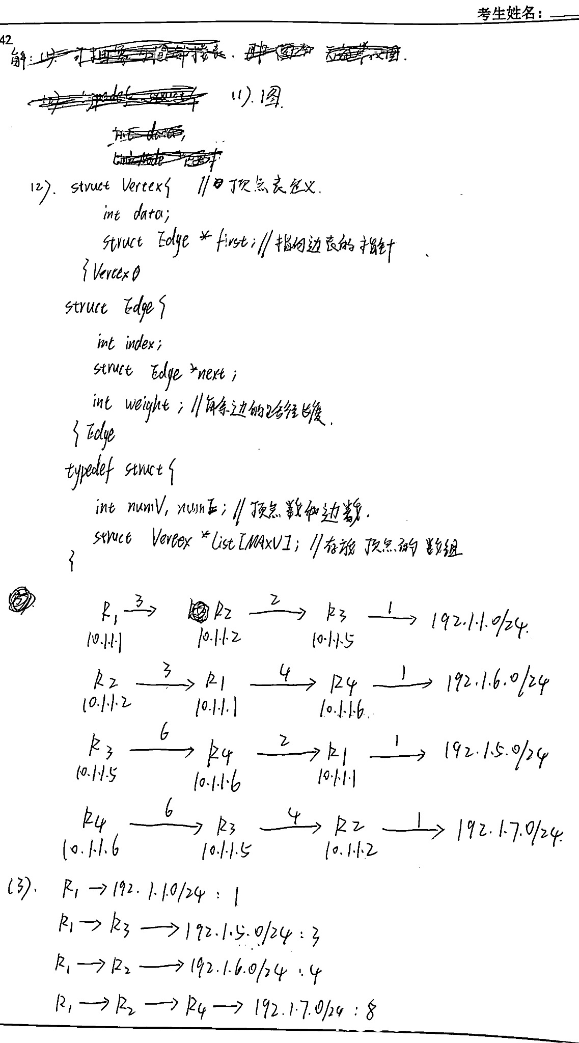
(1)得分及理由(满分1分)
学生第一次识别结果未明确回答,第二次识别结果为"图"。这与标准答案中的"无向图"或"图"相符。根据评分说明,只要给出与图含义相似的描述即可给分。因此得1分。
(2)得分及理由(满分5分)
学生给出的链式存储结构定义采用了邻接表形式,包含顶点表和边表结构,这与标准答案中提到的"若考生给出的答案是将链表中的表头结点保存在一个一维数组中(即采用邻接表形式),同样给分"相符。但存在以下问题:
根据评分标准,虽然采用了可行的链式存储结构,但未能完整保存题目中所给的LSI信息。考虑到学生基本理解了邻接表的存储思想,但实现不够完整,扣2分。得3分。
(3)得分及理由(满分4分)
学生两次识别结果给出的最短路径及费用与标准答案完全一致:
结果完全正确,且符合代价不减的次序。得4分。
题目总分:1+3+4=8分
登录后发布评论
暂无评论,来抢沙发