文章
292
粉丝
0
获赞
2
访问
162.7k

评分及理由
(1)得分及理由(满分6分)
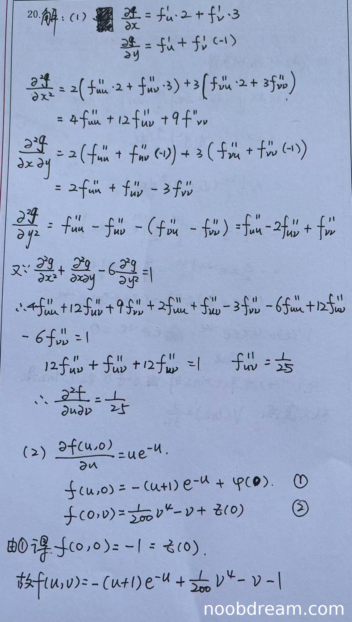
学生作答中,第一次识别结果和第二次识别结果在(1)部分的核心思路和计算过程基本正确。学生正确计算了g(x,y)对x和y的一阶偏导数,并进一步计算了二阶偏导数,然后代入给定方程,得到25f_{uv}''=1,从而得出∂²f/∂u∂v=1/25。这与标准答案一致。
但是,在第一次识别结果中,学生将函数g(x,y)误写为f(x,y),在求导时写的是∂f/∂x等,而不是∂g/∂x。这是一个明显的逻辑错误,因为题目中g(x,y)是复合函数,而f(u,v)是原函数。不过,根据上下文,学生后续的计算过程实际上是针对g(x,y)的,并且最终结果正确。根据“禁止扣分”规则中的第2条和第4条,由于核心逻辑正确,且可能是识别错误或笔误,因此不扣分。
第二次识别结果中,学生将变量u和v的表达式写错了,题目是u=2x+y, v=3x-y,但学生写成了u=2x+3y, v=x-y。这是一个严重的逻辑错误,会导致后续所有偏导数的链式法则计算错误。然而,观察学生后续的具体计算过程,其链式法则的系数(如∂g/∂x = 2f'_u + 3f'_v)却是正确的,这与题目中u=2x+y, v=3x-y的设定相符。这表明学生在计算时实际使用的是正确的u,v表达式,但文字描述有误。根据“禁止扣分”规则第2条(主要判断核心逻辑是否正确)和第4条(对置信度低的回答,存在识别错误的可能性较高),并结合其计算过程正确,判定此为识别错误或笔误,不扣分。
综上,学生在(1)部分的核心计算和最终答案正确,因此得满分6分。
(2)得分及理由(满分6分)
学生在(2)部分的解答存在根本性错误。
标准答案中,由∂²f/∂u∂v = 1/25积分得到f'_u(u,v) = (1/25)v + g(u),然后利用条件f'_u(u,0) = ue^{-u}确定g(u),再对u积分得到f(u,v)的表达式,最后利用f(0,v)的条件确定积分常数。
学生的解答中,错误地将f(0,v)的条件理解为f(0,v) = (1/200)v^4 - v + ψ(0),而题目给出的条件是f(0,v) = (1/50)v^2 - 1。这是一个严重的逻辑错误,直接导致后续求解的f(u,v)表达式完全错误。
此外,学生在求解f(u,0)时,对f'_u(u,0) = ue^{-u}...
登录后发布评论
暂无评论,来抢沙发