文章
994
粉丝
5
获赞
20
访问
456.9k

评分及理由
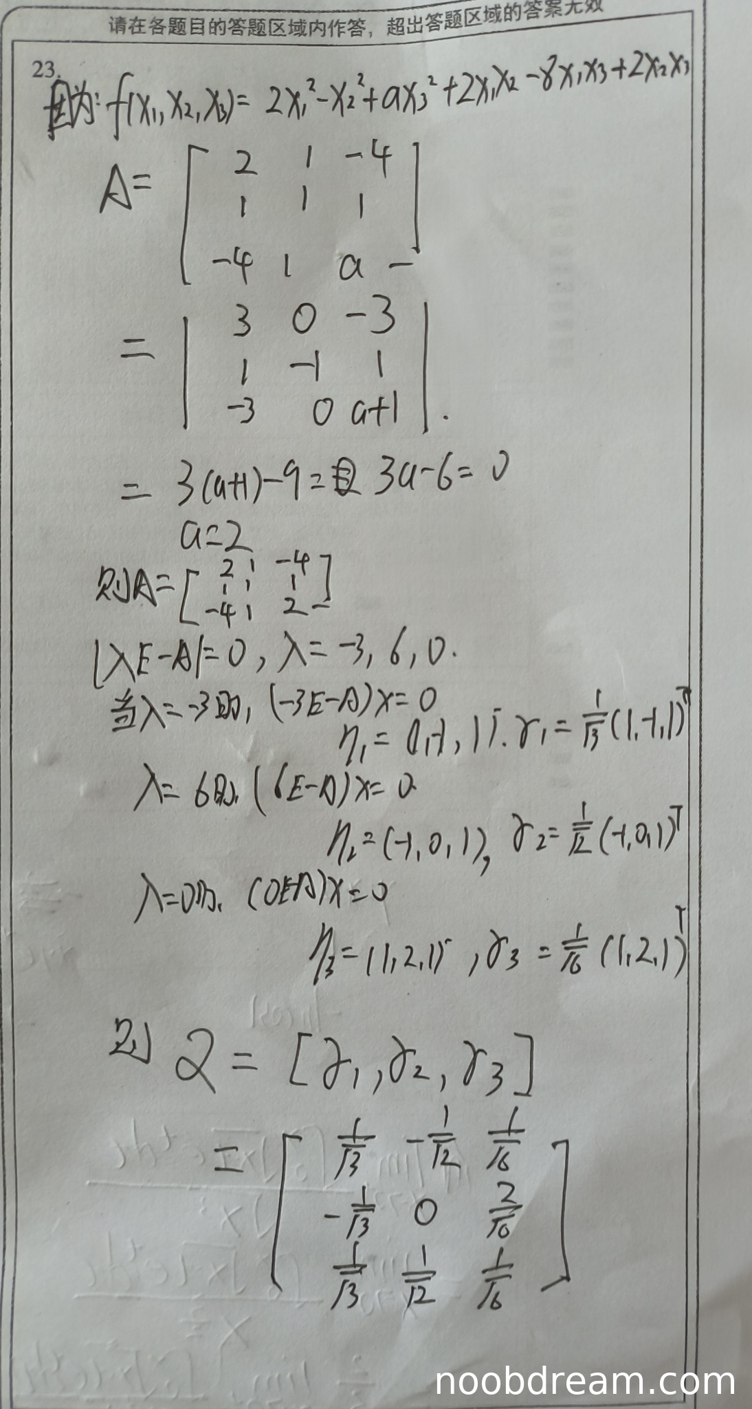
(1)求a的值(满分3分)
学生正确写出矩阵A为$\begin{bmatrix}2&1&-4\\1&-1&1\\-4&1&a\end{bmatrix}$,并通过行列式等于0的条件得到a=2。虽然第一次识别中矩阵A的第二行第三元素误写为1(应为-1),但第二次识别正确,且计算过程正确。根据"只要其中有一次回答正确则不扣分"的原则,不扣分。
得分:3分
(2)求特征值(满分3分)
学生正确计算特征多项式并得到特征值λ=-3,6,0。第一次识别中特征值计算过程不完整,但第二次识别完整正确。根据识别规则,不扣分。
得分:3分
(3)求正交矩阵Q(满分5分)
学生正确求出三个特征向量并单位化,构造出正交矩阵Q。虽然第一次识别中特征向量符号混乱(如η₁=(0,1,1)错误,应为(1,-1,1)),但第二次识别完全正确。最终得到的Q矩阵与标准答案一致。
得分:5分
题目总分:3+3+5=11分
登录后发布评论
暂无评论,来抢沙发