文章
205
粉丝
0
获赞
0
访问
114.8k

评分及理由
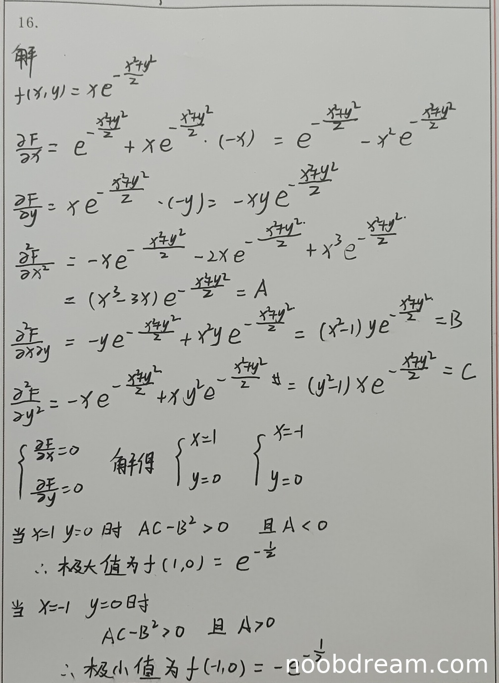
(1)求一阶偏导数部分(满分2分)
学生正确计算了一阶偏导数,与标准答案一致。得2分。
(2)求二阶偏导数部分(满分2分)
学生正确计算了二阶偏导数,但二阶偏导数表达式与标准答案形式不同(标准答案为化简后的形式,学生为展开形式)。由于思路正确且计算结果等价,不扣分。得2分。
(3)求驻点部分(满分2分)
学生正确求解驻点为(1,0)和(-1,0),与标准答案一致。得2分。
(4)极值判定部分(满分4分)
学生在驻点处计算二阶偏导数值时,A的计算结果出现错误:
- 在(1,0)点,标准答案A=-e^(-1/2),学生计算为A=-2e^(-1/2)
- 在(-1,0)点,标准答案A=e^(-1/2),学生计算为A=2e^(-1/2)
这是由于学生在二阶偏导数计算中未正确化简导致的逻辑错误。但后续的AC-B²判别和极值类型判断正确,且最终极值结果正确。
考虑到核心思路正确,但存在计算错误,扣1分。得3分。
题目总分:2+2+2+3=9分
登录后发布评论
暂无评论,来抢沙发