文章
205
粉丝
0
获赞
0
访问
114.9k

评分及理由
(1)得分及理由(满分5分)
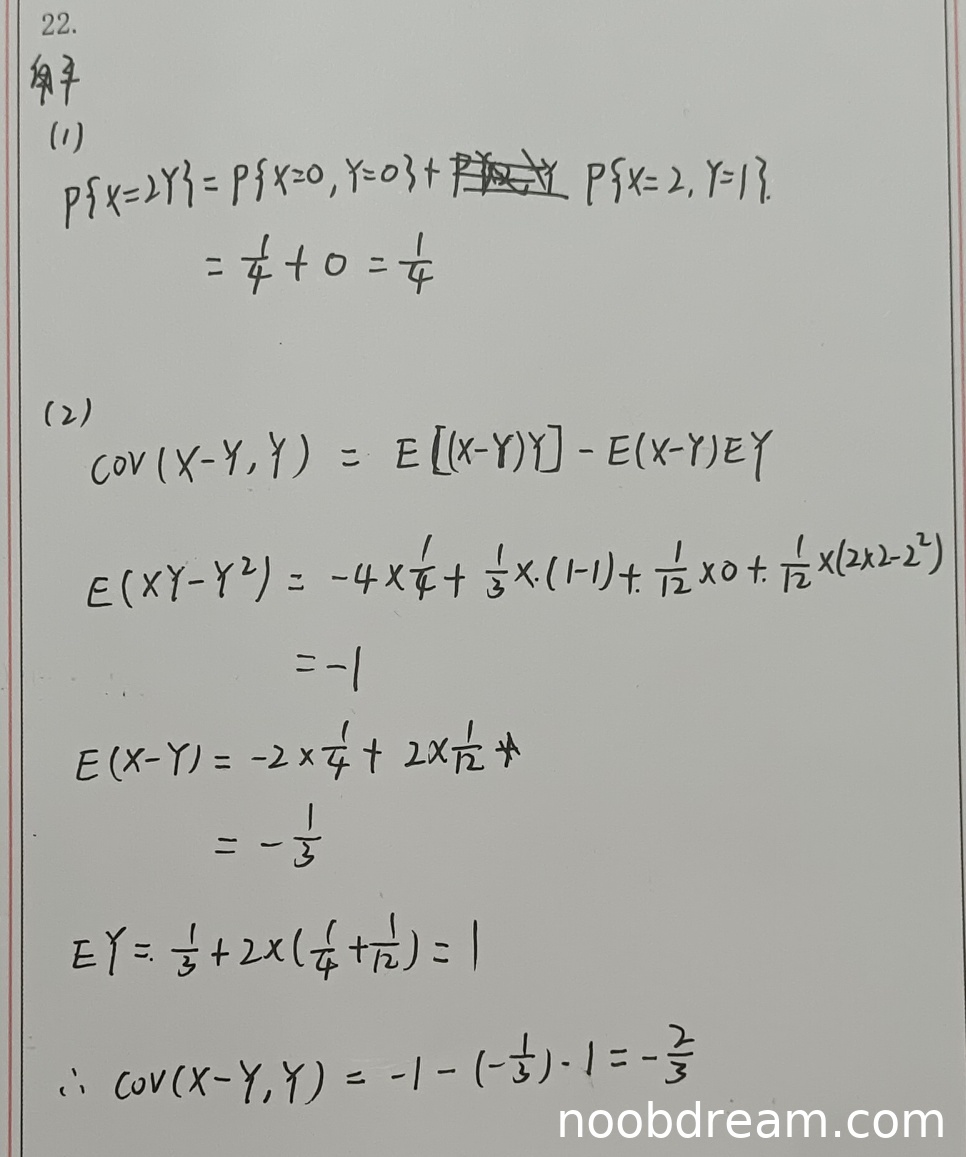
学生正确计算了P(X=2Y),列出了所有满足X=2Y的点(即(X=0,Y=0)和(X=2,Y=1)),并正确代入概率值求和得到1/4。思路和结果与标准答案完全一致。得5分。
(2)得分及理由(满分5分)
学生计算cov(X-Y,Y)时,使用了正确的公式Cov(X-Y,Y)=E[(X-Y)Y] - E(X-Y)E(Y)。在计算E[(X-Y)Y] = E(XY - Y²)时,学生的计算过程(-4×1/4 + ...)虽然表达式略显混乱(例如-4的出现),但最终计算结果为-1是正确的。计算E(X-Y)和E(Y)的过程和结果(分别为-1/3和1)也都是正确的。最终得到cov(X-Y,Y) = -2/3,与标准答案一致。虽然计算E(XY-Y²)的步骤书写不够清晰,但核心逻辑和最终结果正确。对于相关系数ρXY,学生作答中未计算,但题目要求计算ρXY,因此这部分内容缺失。根据评分规则,思路正确不扣分,但未完成全部要求。考虑到(2)问包含两个部分(cov和ρ),而ρXY未计算,应扣除相应分数。标准答案中ρXY的计算依赖于cov(X,Y)和DX、DY,学生未展示这部分计算。因此,(2)问不能得满分。扣除ρXY未计算的分数(假设(2)问总分5分中,cov部分占3分,ρ部分占2分),cov部分计算正确得3分,ρ部分未计算得0分。
题目总分:5+3=8分
登录后发布评论
暂无评论,来抢沙发