文章
135
粉丝
93
获赞
1
访问
60.3k

评分及理由
(1)得分及理由(满分3分)
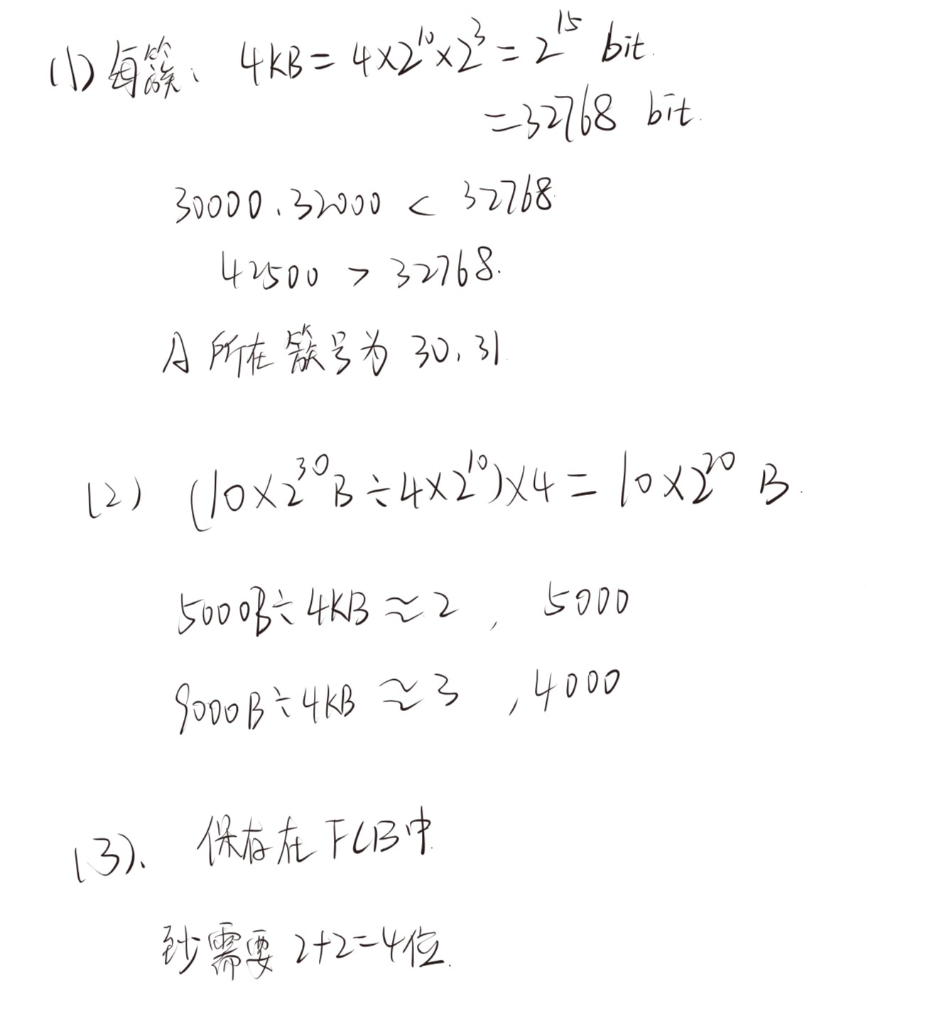
学生答案中计算了每簇的位数(32768 bit),并正确判断了30000和32000小于32768,42500大于32768,得出A所在簇号为30和31。这与标准答案中位图状态位所在的簇号(30、30、31)一致,思路正确。但学生未明确写出每个簇的状态位所在簇号的具体计算过程,而是直接给出了结果。由于结果正确,且核心逻辑无误,因此不扣分。
得分:3分
(2)得分及理由(满分3分)
学生正确计算了FAT的最大长度(10 × 2^20 B = 10MB),得1分。对于文件B的第5000个字节,学生计算得出在第二个簇(簇号4000),但错误地写了“5000”(可能是笔误),且未正确说明FAT表项索引号(应为4000的簇号存放在FAT第5000个表项,索引号5000;4500的簇号存放在FAT第4000个表项,索引号4000)。学生答案中写的是“5000”和“4000”,但顺序和逻辑混乱,存在逻辑错误。
得分:1分(仅FAT长度计算正确)
(3)得分及理由(满分2分)
学生正确指出权限信息应保存在FCB中,得1分。但学生错误计算了权限位数(2+2=4位),未考虑三类用户和四种权限的组合,与标准答案(12位)不符,存在逻辑错误。
得分:1分(仅FCB部分正确)
题目总分:3+1+1=5分
登录后发布评论
暂无评论,来抢沙发