文章
78
粉丝
0
获赞
1
访问
37.2k

评分及理由
(1)得分及理由(满分10分)
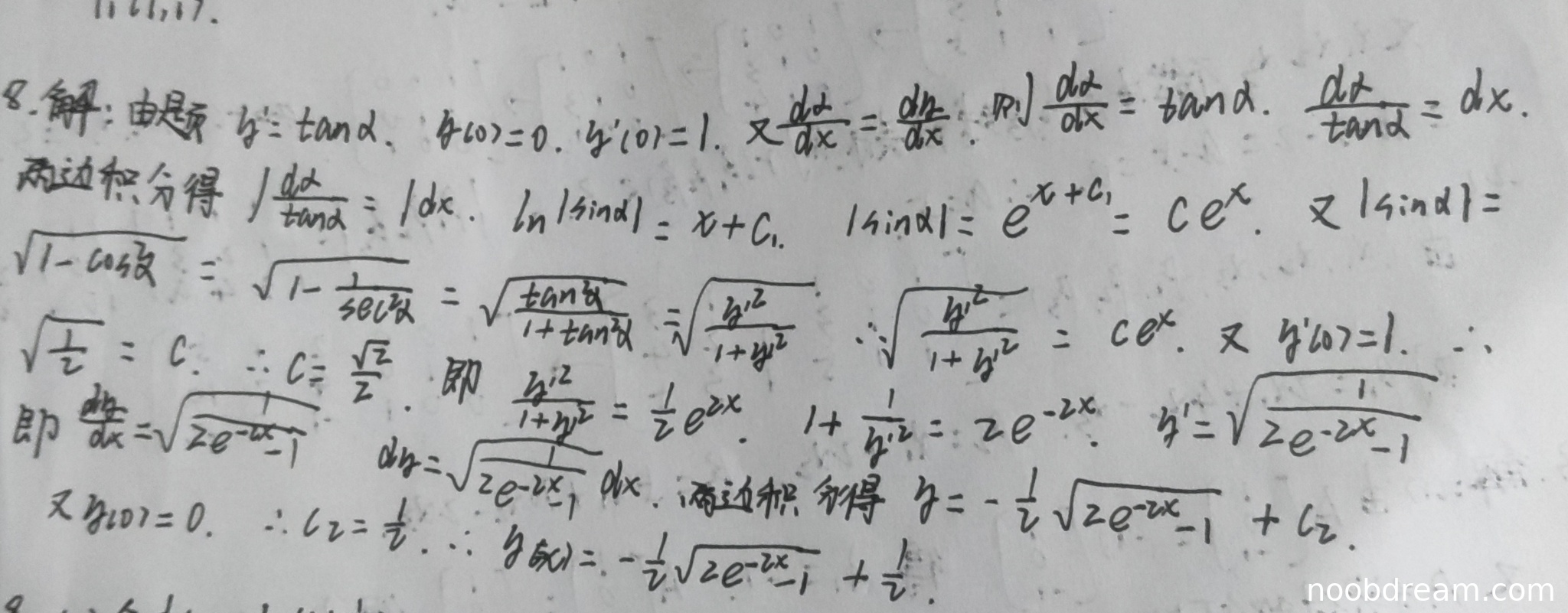
本题满分10分。学生的解答过程存在多处逻辑错误。
首先,在两次识别结果中,学生都将题目中的条件 \(\frac{d\alpha}{dx} = \frac{dy}{dx}\) 错误地理解或书写为 \(\frac{dt}{dx} = \frac{dy}{dx}\) 或 \(\frac{dt}{dx} = \frac{dy'}{dx}\)。这是一个根本性的逻辑错误,因为它改变了微分方程的结构。标准答案中由 \(\tan \alpha = y'\) 和 \(\frac{d\alpha}{dx} = y'\) 推导出 \(y'' = y' + (y')^3\),而学生的错误起点导致后续推导全部偏离正确方向。
其次,学生的求解过程从错误的方程 \(\frac{dt}{\tan t} = dx\) 开始积分,并试图将 \(\sin t\) 与 \(y'\) 建立关系。虽然其中关于 \(\sin t\) 与 \(y'\) 的三角恒等变换(\(\sqrt{y'^2/(1+y'^2)}\))本身是正确的数学运算,但由于出发点错误,整个推导过程失去了意义。
最后,学生得到的最终答案 \(y(x)=-\frac{1}{2}\sqrt{2e^{-2x}-1}+\frac{1}{2}\) 与标准答案 \(y(x) = \arcsin\left(\frac{\sqrt{2}}{2}e^x\right) - \frac{\pi}{4}\) 完全不同。通过简单验证可知,学生的答案不满足初始条件 \(y'(0)=1\)(计算其导数在x=0处为无穷大),这说明答案是完全错误的。
由于学生的解答在核心逻辑(建立微分方程)上存在严重错误,并且最终答案错误,只能给予步骤分。考虑到学生正确写出了初始条件 \(y(0)=0, y'(0)=1\),并尝试了积分求解,给予1分。
得分:1分
题目总分:1分
登录后发布评论
暂无评论,来抢沙发