文章

179

粉丝

0

获赞

0

访问

83.4k

头像
2011年考研数学(一)考试试题 - 第19题回答
高等数学
发布于2025年9月25日 16:01
阅读数 561


评分及理由

(1)得分及理由(满分11分)

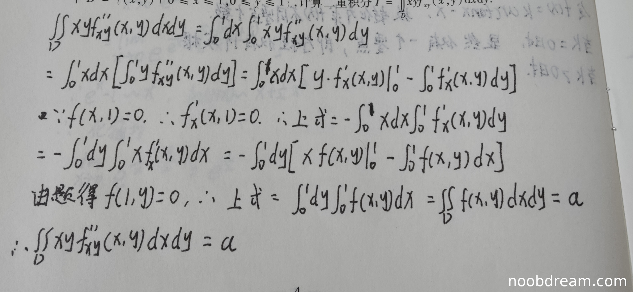
学生作答提供了两次识别结果,但两次内容本质相同,均展示了完整的解题过程。该过程与标准答案思路一致,均通过两次分部积分和交换积分次序的方法求解。具体步骤清晰:首先将二重积分化为累次积分,对y的积分进行分部积分,利用条件f(x,1)=0简化;然后交换积分次序,再对x的积分进行分部积分,利用条件f(1,y)=0简化,最终得到结果a。计算过程正确,逻辑严谨,且最终答案正确。根据打分要求,思路正确且无逻辑错误,应得满分。

题目总分:11分

登录查看完整内容


登录后发布评论

暂无评论,来抢沙发