文章
202
粉丝
0
获赞
0
访问
104.9k

评分及理由
(1)得分及理由(满分5分)
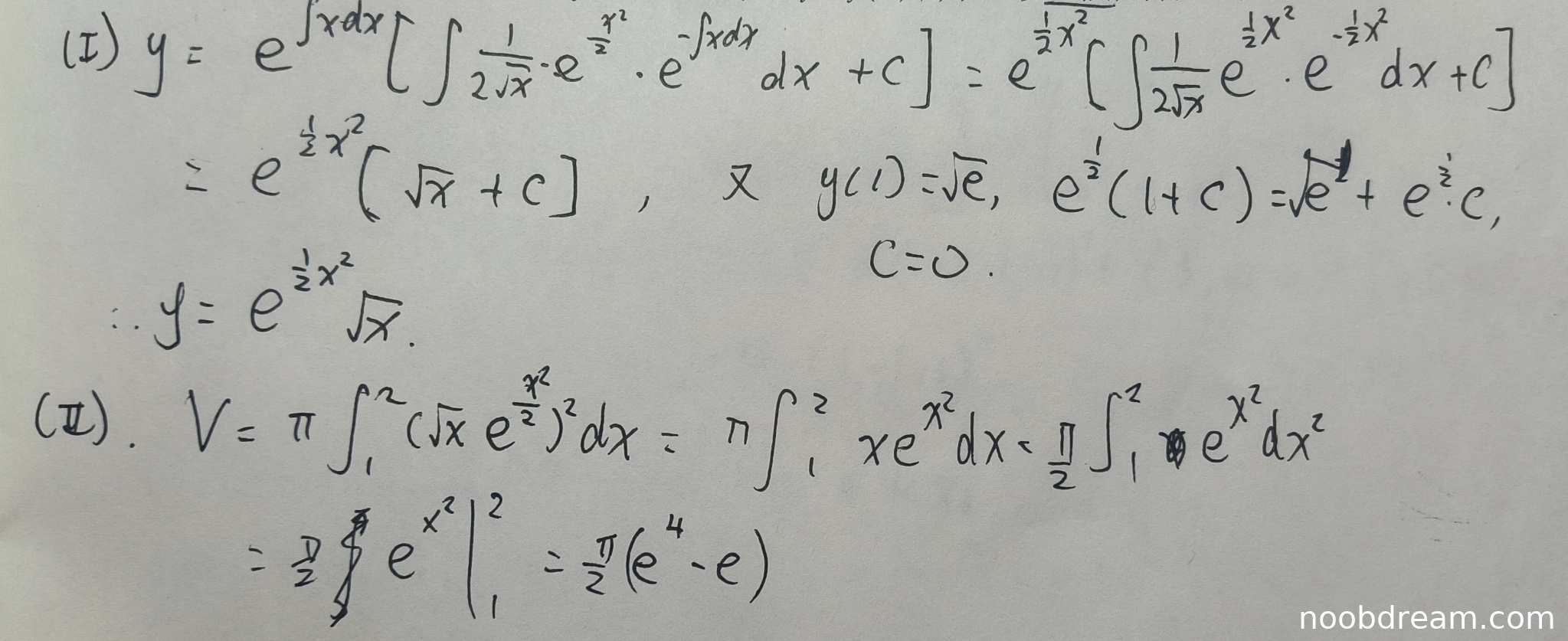
学生正确使用了一阶线性微分方程的求解公式,计算过程清晰,积分化简正确,代入初始条件解得常数C=0,最终得到特解 \(y = e^{\frac{1}{2}x^{2}}\sqrt{x}\),与标准答案 \(y(x)=\sqrt{x} e^{\frac{x^{2}}{2}}\) 等价。因此得5分。
(2)得分及理由(满分5分)
学生正确应用旋转体体积公式 \(V=\pi\int_{a}^{b}y^{2}dx\),代入已求得的y(x)并正确计算积分 \(\pi\int_{1}^{2}xe^{x^{2}}dx\),通过变量代换 \(u=x^2\) 得到最终结果 \(\frac{\pi}{2}(e^{4}-e)\),与标准答案完全一致。因此得5分。
题目总分:5+5=10分
登录后发布评论
暂无评论,来抢沙发