文章
205
粉丝
0
获赞
0
访问
115.2k

评分及理由
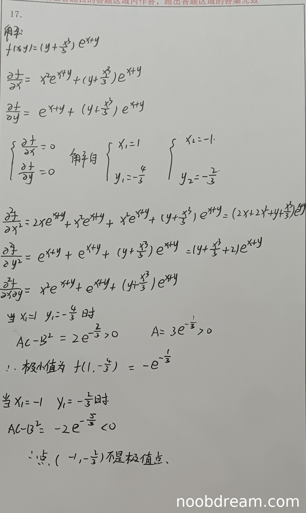
(1)求一阶偏导数(满分2分)
学生正确计算了一阶偏导数,与标准答案一致。得2分。
(2)求驻点(满分3分)
学生正确求解了驻点,过程清晰,与标准答案一致。得3分。
(3)求二阶偏导数及判断极值(满分5分)
学生正确计算了二阶偏导数,并在两个驻点处正确计算了判别式,判断极值类型与标准答案一致。但在计算二阶偏导数∂²f/∂y²时,第一次识别结果为(1+y+x³/3+2)e^(x+y),而标准答案为(2+y+x³/3)e^(x+y),两者等价,但表达形式略有不同,属于可接受范围。第二次识别结果正确。因此不扣分。得5分。
题目总分:2+3+5=10分
登录后发布评论
暂无评论,来抢沙发