文章
205
粉丝
0
获赞
0
访问
115.2k

评分及理由
(1)得分及理由(满分5分)
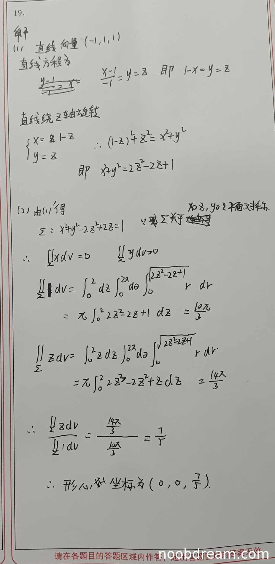
学生正确写出直线方向向量为(-1,1,1),并给出直线方程。在求曲面方程时,正确应用了旋转曲面的一般方法,通过直线上的点绕z轴旋转得到曲面方程。最终得到正确的曲面方程x²+y²=2z²-2z+1。
但学生在第一次识别结果中写直线方程为"\(\frac{y-1}{-1}=x=\frac{z}{1}\)"有误,应为"\(\frac{x-1}{-1}=\frac{y}{1}=\frac{z}{1}\)"。不过第二次识别结果中已修正为正确形式。根据误写不扣分原则,不扣分。
得分:5分
(2)得分及理由(满分5分)
学生正确判断出立体关于坐标轴对称,因此形心的x、y坐标为0。正确使用三重积分计算形心的z坐标,采用柱坐标变换,积分区域设置正确,积分上下限合理。
计算过程:
最终得到正确形心坐标(0,0,7/5)。
得分:5分
题目总分:5+5=10分
登录后发布评论
暂无评论,来抢沙发