文章
217
粉丝
0
获赞
0
访问
120.7k

评分及理由
(1)得分及理由(满分10分)
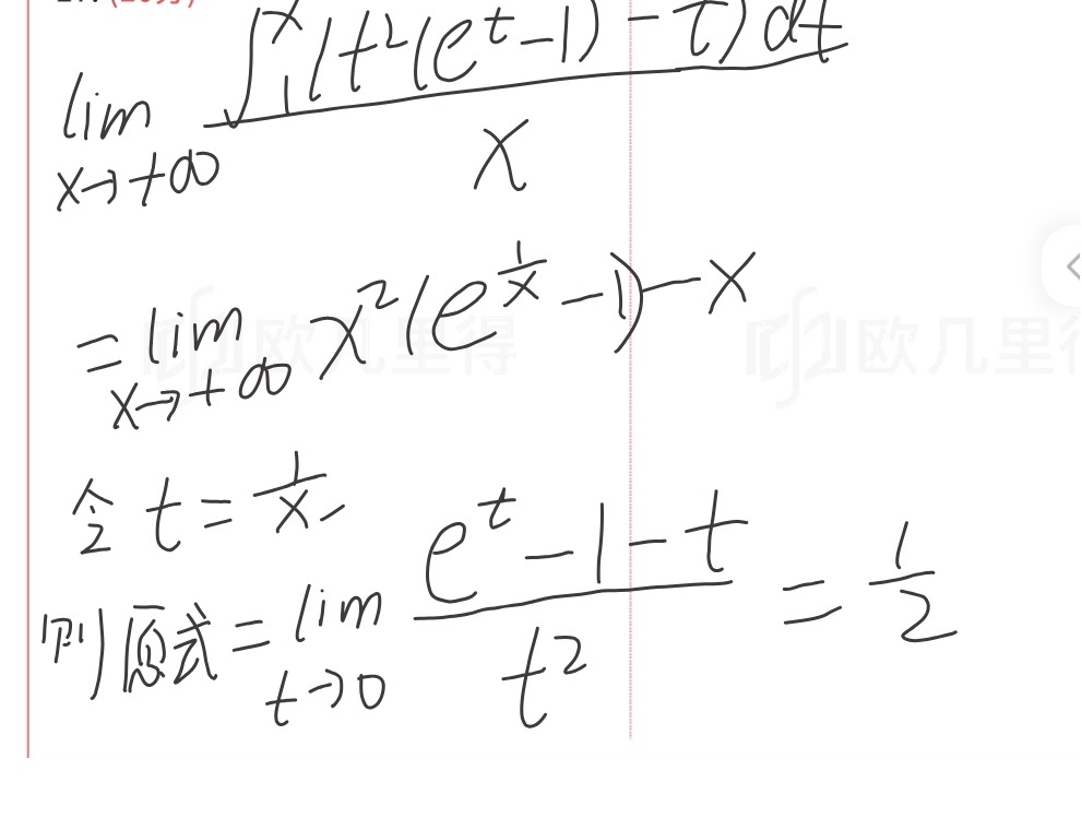
学生作答中,第1次识别结果存在明显错误:将原题分母中的 \(x^2 \ln \left(1+\frac{1}{x}\right)\) 误写为 \(x\),且分子中的 \(e^{\frac{1}{t}}\) 误写为 \(e^t\)。这些错误导致后续计算逻辑完全偏离原题,属于严重逻辑错误。因此,第1次识别结果不能得分。
第2次识别结果中,学生正确识别了原题分母为 \(x^2 \ln \left(1+\frac{1}{x}\right)\),但在应用洛必达法则时,错误地将分母求导为 \(1\)(实际上分母应为 \(x^2 \ln \left(1+\frac{1}{x}\right)\),求导过程复杂)。此外,分子求导后应为 \(x^2 \left(e^{\frac{1}{x}} - 1\right) - x\),但学生误写为 \(x^2(e^x - 1) - x\),导致后续换元及极限计算完全错误。尽管最终结果巧合地为 \(\frac{1}{2}\),但过程中存在多处逻辑错误,不符合标准答案的推导逻辑。
根据打分要求,逻辑错误需扣分。学生作答的核心步骤(洛必达法则应用、换元、极限计算)均存在错误,因此本题得分应扣除严重逻辑错误分。考虑到学生最终结果正确,但过程错误,给予部分步骤分。
得分:2分(结果正确但过程错误,酌情给分)。
题目总分:2分
登录后发布评论
暂无评论,来抢沙发