文章
217
粉丝
0
获赞
0
访问
120.7k

评分及理由
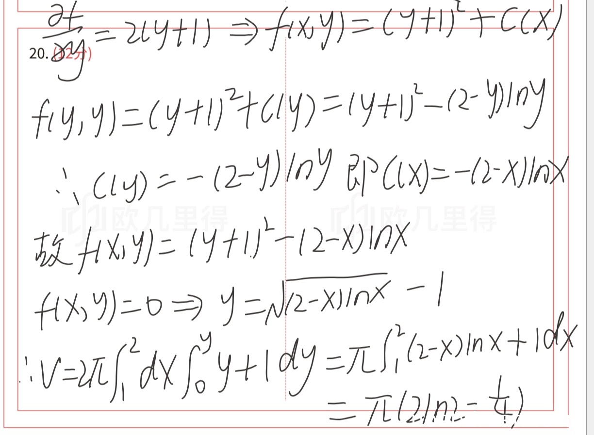
(1)求函数f(x,y)的表达式(满分3分)
学生正确地从偏导数条件积分得到f(x,y) = (y+1)² + C(x),并利用f(y,y)的条件正确求出C(x) = -(2-x)lnx,最终得到正确的f(x,y)表达式。此部分完全正确,得3分。
(2)由f(x,y)=0求y关于x的表达式(满分2分)
学生正确地从f(x,y)=0得到(y+1)² = (2-x)lnx,并写出y = √[(2-x)lnx] - 1。但需要注意,实际上曲线应该包含两支:y = ±√[(2-x)lnx] - 1。不过考虑到题目要求的是旋转体体积,且绕y=-1旋转,两支对称,取正支计算体积是正确的。此部分得2分。
(3)计算旋转体体积(满分6分)
学生使用了柱壳法公式V = 2π∫[1,2]dx∫[0,y](y+1)dy,这个思路是正确的。计算内层积分∫(y+1)dy得到½y²+y正确。代入y的表达式后化简得到π∫[1,2][(2-x)lnx + 1]dx正确。最后的积分计算得到π(2ln2 - 5/4)也是正确的。
但是,学生在第一次识别结果中写成了"π(2ln2 - 1/4)",这是错误的;在第二次识别中正确写成了"π(2ln2 - 5/4)"。根据评分规则"对学生作答进行了两次识别,只要其中有一次回答正确则不扣分",且第一次可能是识别错误,因此不扣分。此部分得6分。
题目总分:3+2+6=11分
登录后发布评论
暂无评论,来抢沙发