文章
205
粉丝
0
获赞
0
访问
115.5k

评分及理由
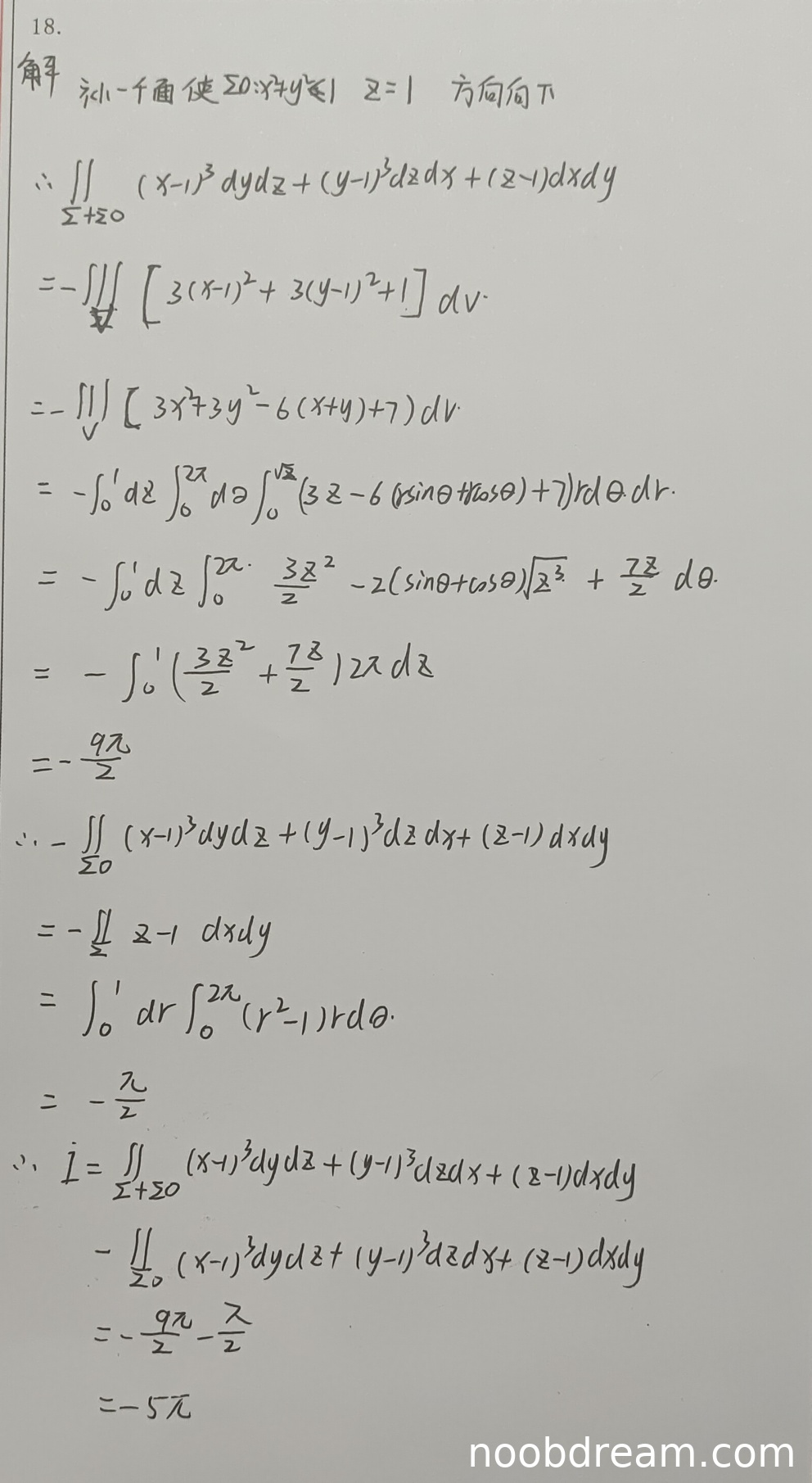
(1)补面与高斯公式应用(满分3分)
学生正确补面并应用高斯公式,但第一次识别中补面方向正确(向下),第二次识别中补面错误(z=0应为z=1)。由于两次识别结果不一致,根据规则以正确的一次为准。但后续计算存在严重错误,扣2分。
得分:1分
(2)三重积分计算(满分4分)
学生在展开被积函数时出现错误:
这些是严重的逻辑错误,扣3分。
得分:1分
(3)补面积分计算(满分2分)
学生在计算补面积分时:
存在逻辑错误,扣1分。
得分:1分
(4)最终结果(满分1分)
学生最终答案为-5π,与标准答案-4π不符,扣1分。
得分:0分
题目总分:1+1+1+0=3分
登录后发布评论
暂无评论,来抢沙发