文章
205
粉丝
0
获赞
0
访问
115.5k

评分及理由
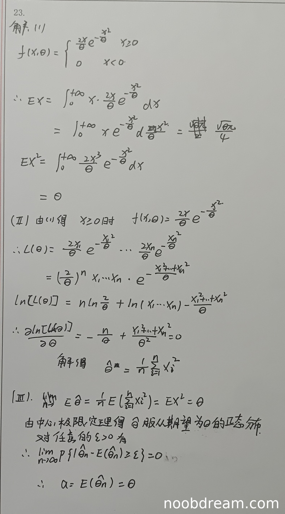
(1)得分及理由(满分3分)
第1次识别:EX的计算过程有逻辑错误,从积分直接跳到结果且中间步骤不完整,且结果错误(写成了√π/2 * √π/4),扣2分;EX²计算正确,得1分。共得1分。
第2次识别:EX计算过程完整正确,得1分;EX²计算正确,得1分。共得2分。
按较高得分给分,本小题得2分。
(2)得分及理由(满分4分)
两次识别结果基本一致:概率密度函数正确,似然函数构造正确,对数似然函数正确,求导过程正确,最终得到正确的最大似然估计量。虽然第1次识别中写的是x_i而不是X_i,但考虑到这是识别问题,不扣分。本小题得4分。
(3)得分及理由(满分4分)
第1次识别:虽然最终结论正确(a=θ),但论证过程有逻辑错误 - 错误地使用了中心极限定理(说ˆθ服从正态分布),实际上应该用大数定律。扣2分,得2分。
第2次识别:同样存在中心极限定理的错误使用,但最终结论正确。扣2分,得2分。
本小题得2分。
题目总分:2+4+2=8分
登录后发布评论
暂无评论,来抢沙发