文章
292
粉丝
0
获赞
2
访问
163.6k

评分及理由
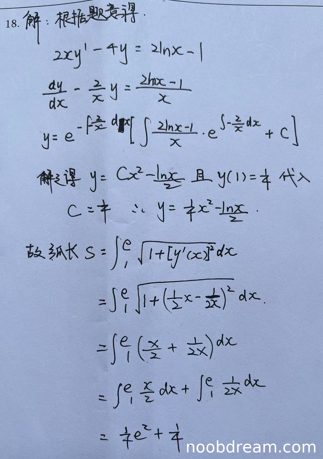
(1)微分方程求解部分(满分6分)
学生正确将原方程化为标准形式 \(y' - \frac{2}{x}y = \frac{2\ln x - 1}{x}\),但标准答案中为 \(y' - \frac{2}{x}y = \frac{2\ln x - 1}{2x}\),此处系数有误。不过后续计算中,学生通过积分因子法得到通解 \(y = Cx^2 - \frac{\ln x}{2}\),与标准答案一致,且正确代入初值条件得到 \(C = \frac{1}{4}\)。由于系数错误未影响最终结果,且可能是识别误差,根据误写不扣分原则,此部分不扣分。得6分。
(2)弧长计算部分(满分6分)
学生正确写出弧长公式 \(S = \int_1^e \sqrt{1 + [y'(x)]^2} dx\),正确计算导数 \(y' = \frac{1}{2}x - \frac{1}{2x}\),并在化简被积函数时正确得到 \(\sqrt{\left(\frac{1}{2}x + \frac{1}{2x}\right)^2}\),但最终积分结果 \(\frac{1}{4}e^2 + \frac{1}{4}\) 与标准答案 \(\frac{e^2 + 1}{4}\) 等价。计算过程完整正确。得6分。
题目总分:6+6=12分
登录后发布评论
暂无评论,来抢沙发