2022年考研数学(二)考试试题 - 第19题回答
高等数学
发布于2025年9月30日 11:27
阅读数 517

评分及理由
(1)得分及理由(满分12分)
学生作答存在多处逻辑错误:
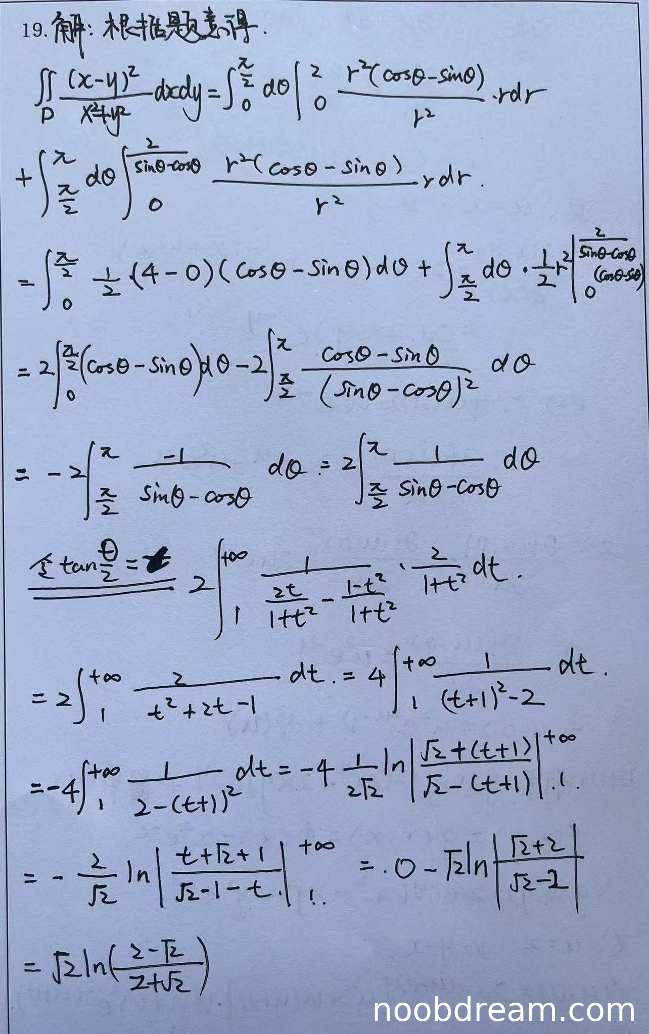
- 在极坐标转换时,被积函数应为 \((\cos\theta - \sin\theta)^2\),但学生在第一次识别中写成了 \((\cos\theta - \sin\theta)\),缺少平方,这是关键错误。
- 在计算第一部分积分时,学生写成了 \(\int_0^{\pi/2} (\cos\theta - \sin\theta) d\theta\),而正确应为 \(\int_0^{\pi/2} (\cos\theta - \sin\theta)^2 d\theta\),导致后续计算完全错误。
- 在第二部分积分中,学生错误地将被积函数简化为 \(\frac{1}{\sin\theta - \cos\theta}\),而正确应为常数2的积分。
- 最终结果与标准答案 \(2\pi - 2\) 不符,且计算过程复杂化,存在积分上下限和换元错误。
由于核心逻辑错误导致整个计算方向错误,扣分严重。但考虑到学生正确使用了极坐标转换并分区积分,给予部分思路分。
得分:3分(满分12分)
题目总分:3分
登录后发布评论
暂无评论,来抢沙发