文章
149
粉丝
0
获赞
1
访问
79.8k

评分及理由
(1)得分及理由(满分3分)
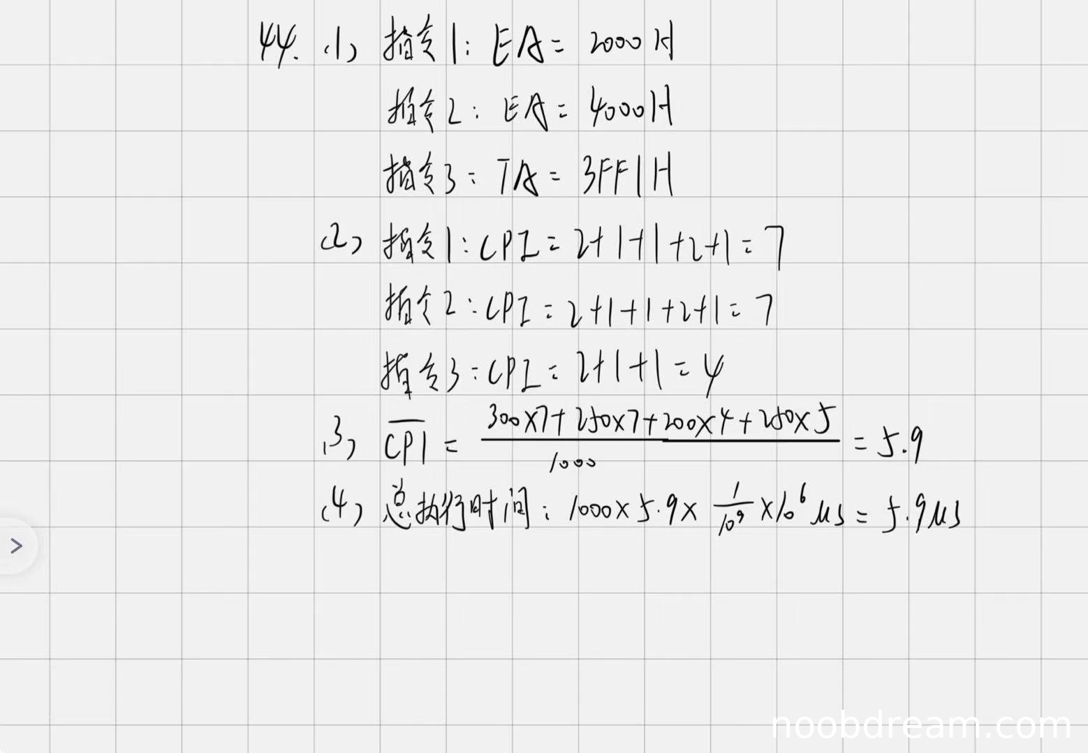
学生答案中,指令1的EA=2000H和指令2的EA=4000H均正确,各得1分。指令3的TA计算有误:标准答案为3FF0H,学生答案为3FF1H。根据题目描述,相对寻址时PC指向下一条指令地址(4000H),地址码A=-0010H(有符号数,扩展为16位后为FFF0H),正确计算应为4000H+FFF0H=3FF0H(有进位舍去)。学生答案3FF1H存在逻辑错误,扣1分。本小题得2分。
(2)得分及理由(满分3分)
学生正确计算了指令1、指令2、指令3的CPI分别为7、7、4,与标准答案一致。其中指令1和指令2需要IF(2)、ID(1)、EX(1)、MEM(2)、WB(1)共7个周期;指令3需要IF(2)、ID(1)、EX(1)共4个周期(跳转指令不需要MEM和WB)。本小题得3分。
(3)得分及理由(满分2分)
学生计算平均CPI的公式正确:$\overline{CPI}=\frac{300\times7+250\times7+200\times4+250\times5}{1000}=5.9$。其中直接寻址类30%(300条)、变址寻址类25%(250条)、相对寻址类20%(200条)的CPI使用正确,寄存器寻址类25%(250条)的CPI=5(IF2+ID1+EX1+WB1)正确。计算结果5.9与标准答案一致。本小题得2分。
(4)得分及理由(满分2分)
学生计算总执行时间的公式正确:$总执行时间=指令数\times CPI\times时钟周期=1000\times5.9\times\frac{1}{10^9}\times10^6\mu s=5.9\mu s$。虽然第(1)问中TA计算有误,但本问计算基于正确的平均CPI,且计算过程正确。本小题得2分。
题目总分:2+3+2+2=9分
登录后发布评论
暂无评论,来抢沙发