文章
149
粉丝
0
获赞
1
访问
79.9k

评分及理由
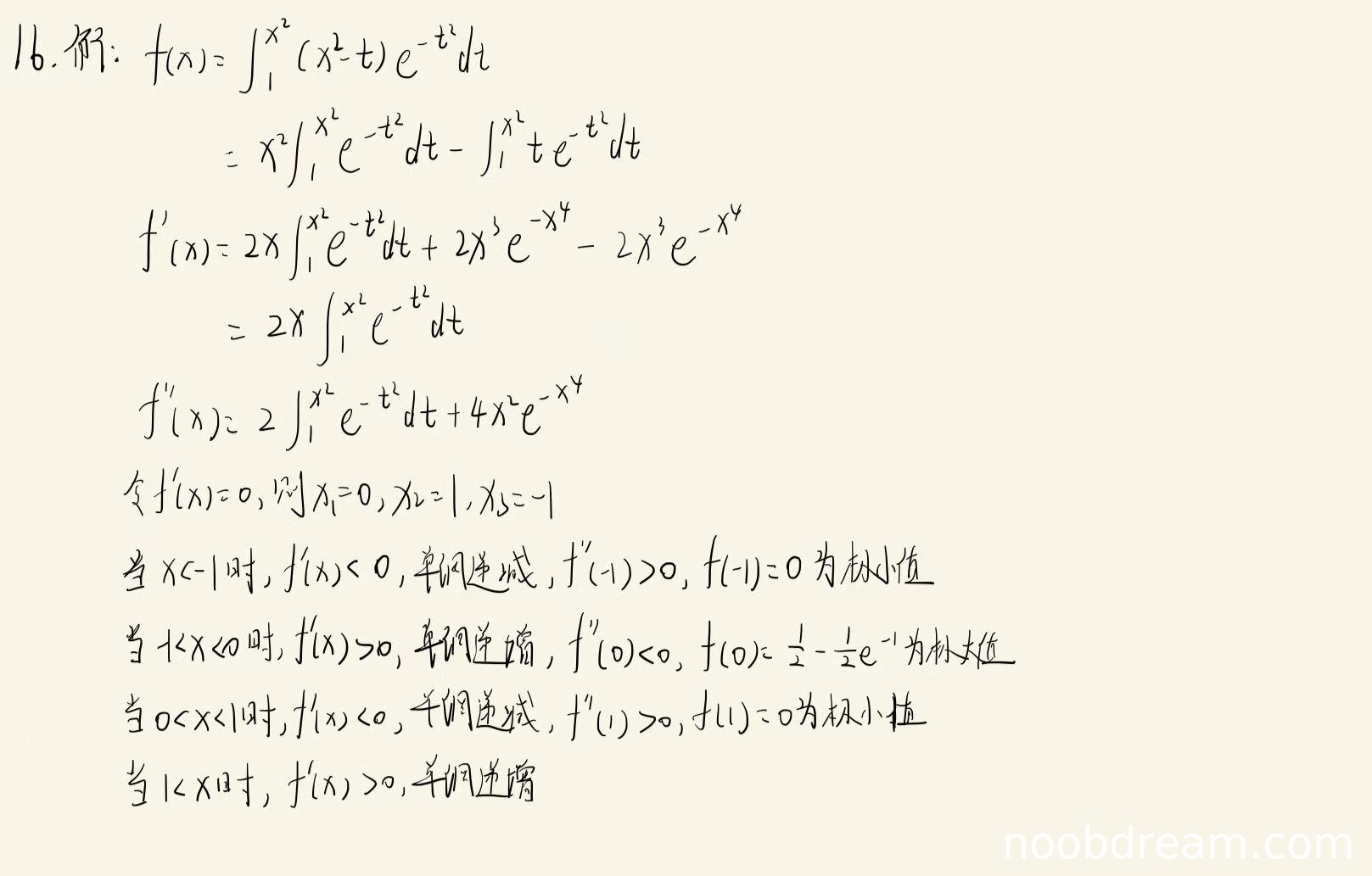
(1)导数计算(满分2分)
学生正确计算了导数 \( f'(x) = 2x \int_{1}^{x^{2}} e^{-t^{2}} dt \),过程清晰。得2分。
(2)驻点求解(满分2分)
学生正确解出驻点 \( x = 0, \pm 1 \)。得2分。
(3)单调区间判断(满分3分)
学生正确分析了各区间导数的符号,得出单调递增区间为 \((-1,0)\) 和 \((1,+\infty)\),单调递减区间为 \((-\infty,-1)\) 和 \((0,1)\)。得3分。
(4)极值计算(满分3分)
学生正确计算出极值点函数值:\( f(\pm 1) = 0 \),\( f(0) = \frac{1}{2} - \frac{1}{2}e^{-1} \)。但在判断极值类型时使用了二阶导数检验,虽然结果正确,但方法不是最简。考虑到二阶导数检验在此题中也能得出正确结论,且极值计算结果完全正确,不扣分。得3分。
题目总分:2+2+3+3=10分
登录后发布评论
暂无评论,来抢沙发