文章
149
粉丝
0
获赞
1
访问
79.9k

评分及理由
(1)得分及理由(满分5分)
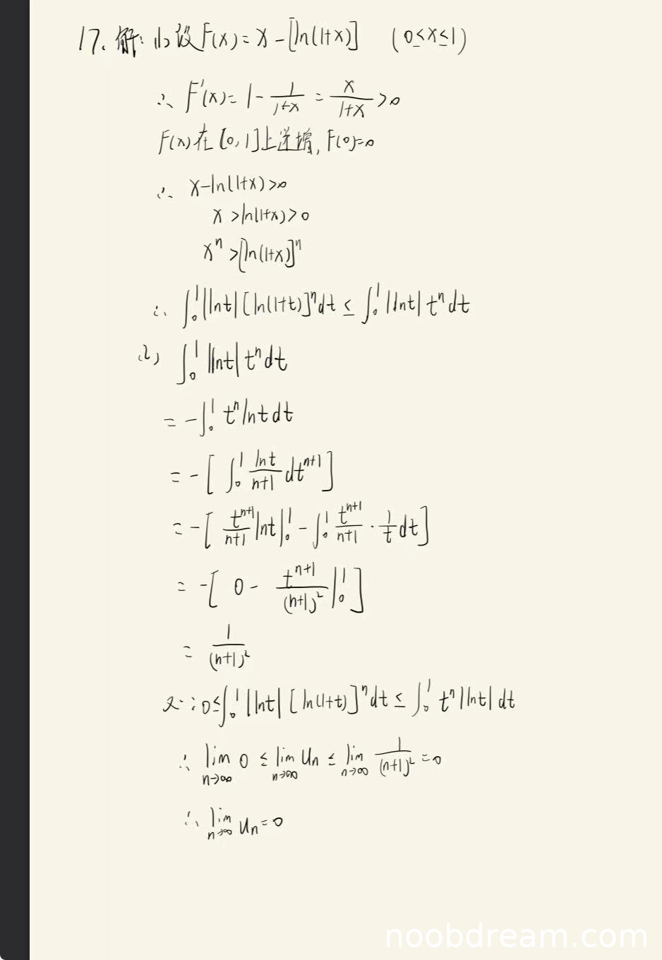
学生正确构造了函数 \(F(x) = x - \ln(1+x)\),并求导得到 \(F'(x) = \frac{x}{1+x} > 0\)(当 \(0 < x \leq 1\) 时),说明 \(F(x)\) 在 \([0,1]\) 上递增。由 \(F(0) = 0\) 得出 \(x > \ln(1+x) > 0\),从而 \(x^n > [\ln(1+x)]^n\)。结合 \(|\ln t| \geq 0\),得到积分不等式。逻辑完整,与标准答案一致。但学生将变量记为 \(x\) 而非 \(t\),这是符号选择问题,不影响逻辑,不扣分。得5分。
(2)得分及理由(满分5分)
学生正确计算了 \(\int_0^1 t^n |\ln t| dt\):先转化为 \(-\int_0^1 t^n \ln t dt\),使用分部积分法,并处理了极限 \(\lim_{t \to 0^+} \frac{t^{n+1}}{n+1} \ln t = 0\)(通过洛必达法则或直接极限知识),最终得到结果为 \(\frac{1}{(n+1)^2}\)。计算过程正确,与标准答案方法一一致。在极限部分,学生额外使用了洛必达法则,这是允许的且正确,不扣分。得5分。
(3)得分及理由(本问题无独立分数,但涉及极限部分)
学生基于(1)中的不等式 \(0 \leq u_n \leq \int_0^1 t^n |\ln t| dt\),结合(2)中计算结果 \(\int_0^1 t^n |\ln t| dt = \frac{1}{(n+1)^2}\),应用夹逼准则得出 \(\lim_{n \to \infty} u_n = 0\)。逻辑正确,与标准答案一致。无扣分点。
题目总分:5+5=10分
登录后发布评论
暂无评论,来抢沙发