文章
149
粉丝
0
获赞
1
访问
79.9k

评分及理由
(1)求常数A的得分及理由(满分5.5分)
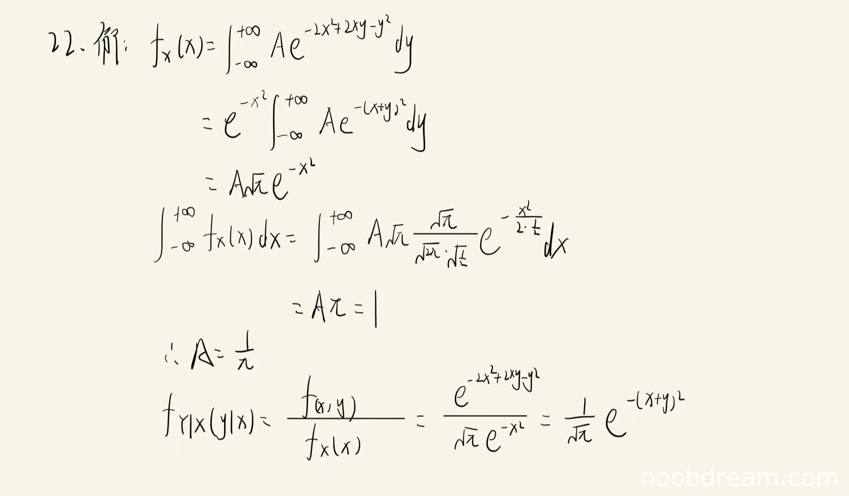
学生第一次识别中,在计算f_X(x)时指数部分变形有误:将-2x²+2xy-y²写成-(x²+(x-2y)²)是错误的,应该是-x²-(x-y)²。但在第二次识别中,学生正确写出了-x²-(x-y)²,并正确完成了后续计算。根据禁止扣分原则,第一次识别中的错误可能是误写,且第二次识别正确,所以不扣分。
在计算A时,学生通过∫f_X(x)dx=1得到Aπ=1,这是正确的思路。虽然中间步骤的写法有些复杂(涉及正态分布密度函数的系数),但最终得到了正确结果A=1/π。
得分:5.5分
(2)求条件概率密度的得分及理由(满分5.5分)
学生正确使用了条件概率密度公式f_{Y|X}(y|x)=f(x,y)/f_X(x)。
在第一次识别中,最终结果写成了e^{-(x+y)²},这是错误的,应该是e^{-(x-y)²}。但在第二次识别中,学生同样写成了e^{-(x+y)²},这表明不是误写而是理解错误。
这是一个逻辑错误,因为指数部分应该是-(x-y)²而不是-(x+y)²。考虑到这是核心计算错误,需要扣分。
得分:3.5分(扣2分)
题目总分:5.5+3.5=9分
登录后发布评论
暂无评论,来抢沙发