文章

202

粉丝

0

获赞

0

访问

105.3k

头像
2016年考研数学(二)考试试题 - 第15题回答
高等数学
发布于2025年10月2日 10:35
阅读数 566


评分及理由

(1)得分及理由(满分10分)

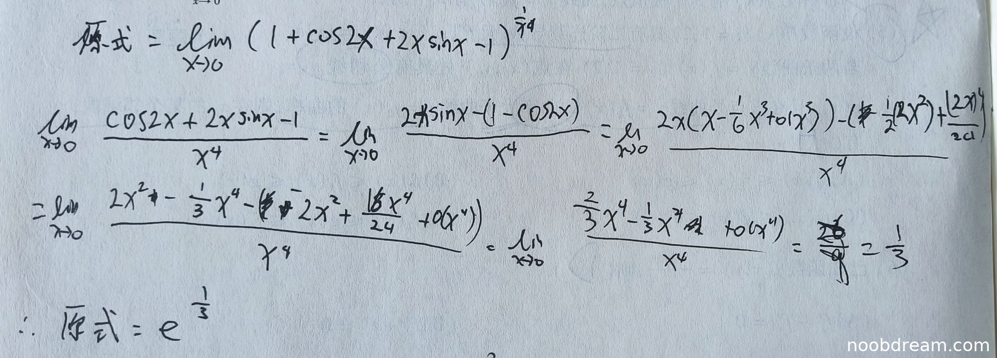
学生作答整体思路正确,采用了将原式转化为指数形式并利用泰勒展开求解的方法,与标准答案一致。在第一次识别结果中,学生写出了关键步骤:

  • 正确识别了1^∞型极限,并转化为求指数极限的形式。
  • 对cos2x和sinx进行了泰勒展开。
  • 计算过程中虽然有一些书写不规范(如将1-cos2x展开时符号处理不够严谨),但最终得到了正确结果1/3。
  • 最终得出原式极限为e^(1/3)。

在第二次识别结果中,步骤更加详细完整:

  • 明确说明了1^∞型极限的处理方法。
  • 使用了二倍角公式和泰勒展开。
  • 展开和化简过程逻辑清晰。
  • 最终得到正确结果。

虽然第一次识别结果中有一些计算步骤不够严谨(如符号处理),但第二次识别结果完整正确。根据评分要求,只要有一次回答正确就不扣分,因此给满分10分。

题目总分:10分

登录查看完整内容


登录后发布评论

暂无评论,来抢沙发