文章
202
粉丝
0
获赞
0
访问
105.3k

评分及理由
(1)得分及理由(满分5分)
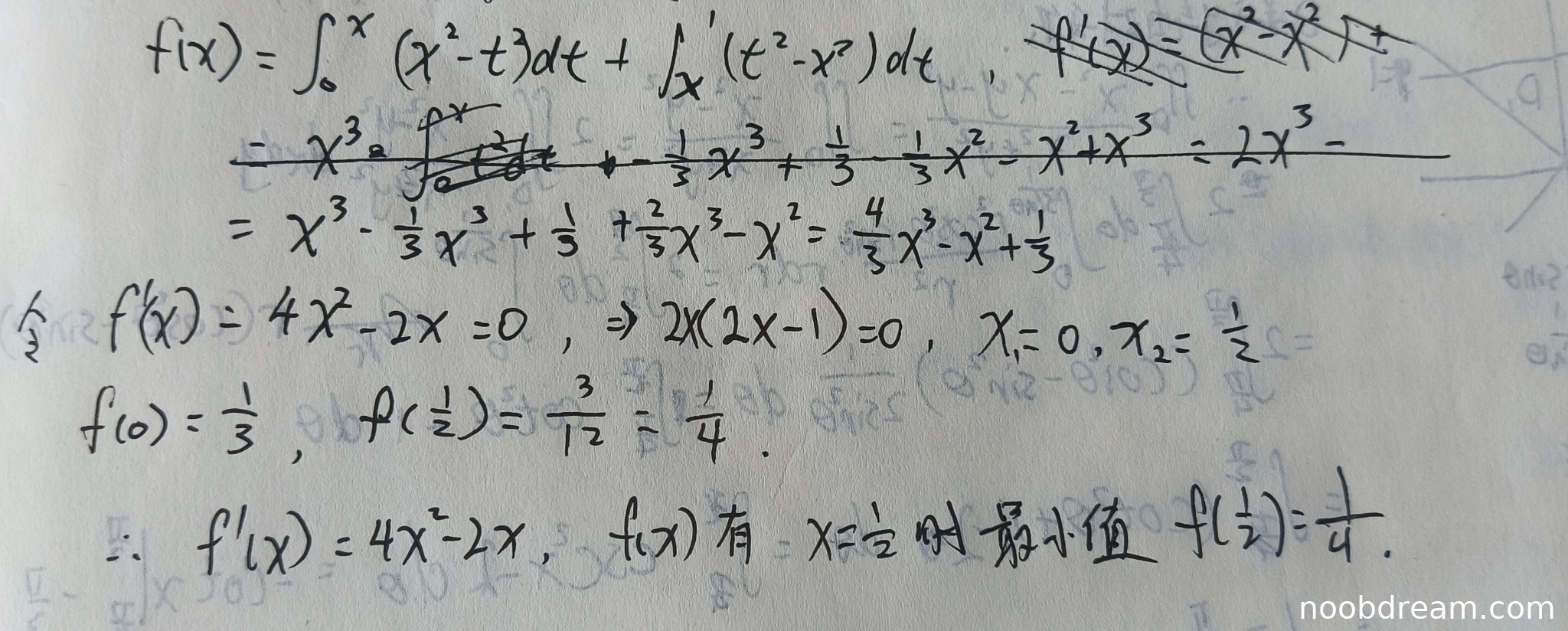
学生正确分段计算了积分表达式,并得到了在区间(0,1]上的正确表达式f(x)=4/3x³-x²+1/3。但在x>1区间的情况完全没有考虑,这是一个重要的逻辑缺陷。根据标准答案,完整的f(x)定义需要分两段考虑。扣2分。
得分:3分
(2)得分及理由(满分5分)
学生在(0,1]区间上正确求导得到f'(x)=4x²-2x,并正确解出驻点x=1/2。但由于没有考虑x>1区间的情况,导数表达式不完整。在最小值求解中,虽然得到了正确的最小值1/4,但缺少对x>1区间函数值的比较。扣1分。
得分:4分
题目总分:3+4=7分
登录后发布评论
暂无评论,来抢沙发