文章
202
粉丝
0
获赞
0
访问
105.4k

评分及理由
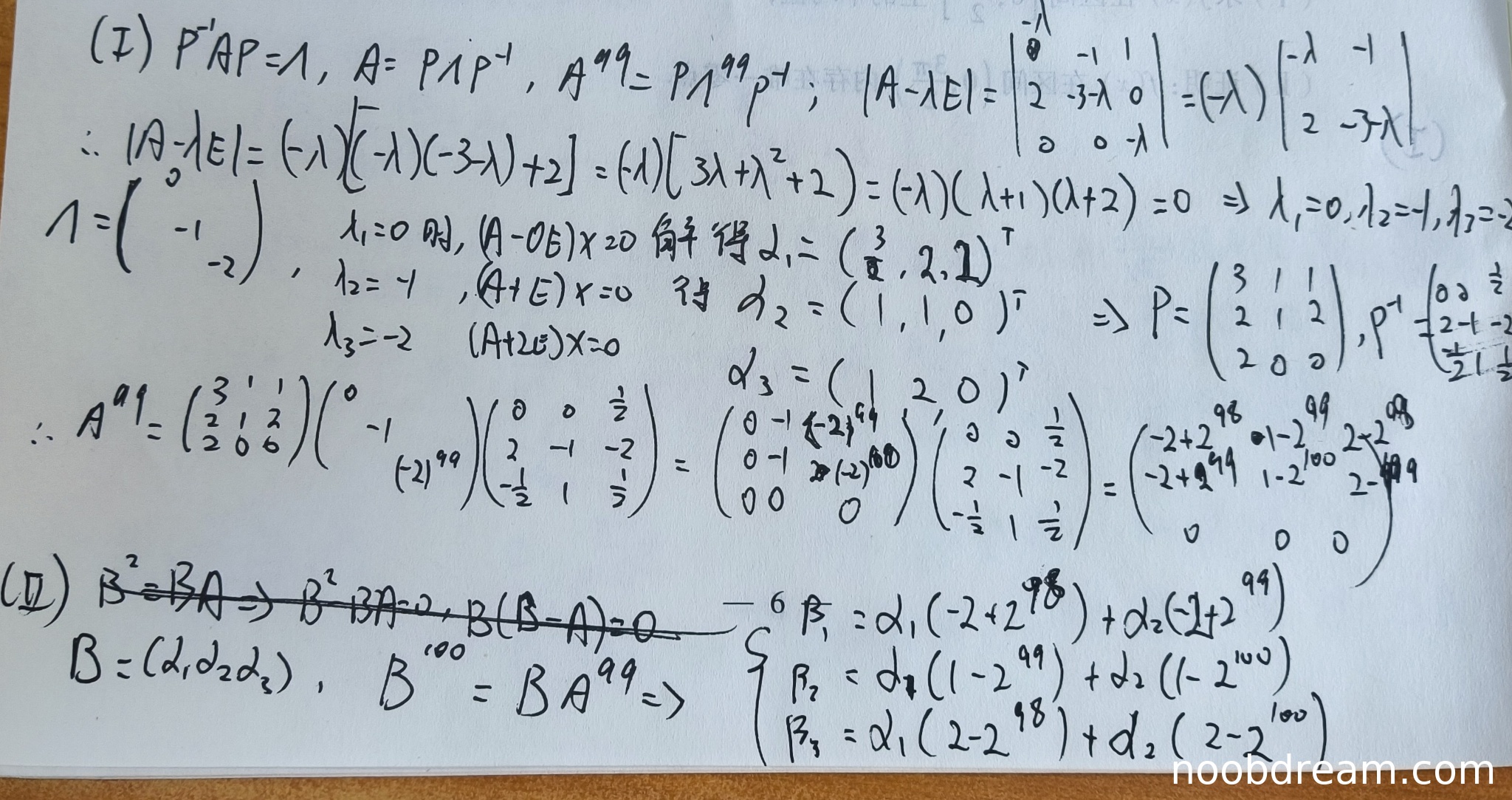
(1)得分及理由(满分6分)
学生正确求出了特征值 λ₁=0, λ₂=-1, λ₃=-2(2分)。特征向量求解有误:λ₁=0对应的特征向量应为(3/2,1,1)ᵀ,但学生得到的是(3/2,2,2)ᵀ(扣1分)。矩阵P构造错误(扣1分)。虽然正确使用了A⁹⁹=PΛ⁹⁹P⁻¹的方法,但最终计算结果与标准答案不符(扣2分)。得分为2分。
(2)得分及理由(满分5分)
学生正确推导出B¹⁰⁰=BA⁹⁹(2分)。虽然思路正确,但由于第(1)问中A⁹⁹计算错误,导致最终β₁,β₂,β₃的线性组合表达式全部错误(扣3分)。得分为2分。
题目总分:2+2=4分
登录后发布评论
暂无评论,来抢沙发