文章
149
粉丝
0
获赞
1
访问
80.0k

评分及理由
(1)得分及理由(满分5分)
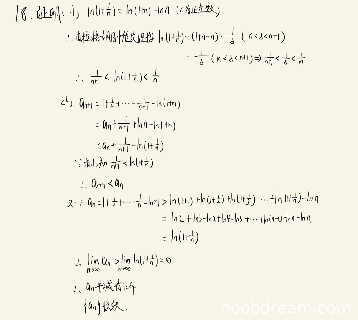
学生使用拉格朗日中值定理证明不等式,思路正确且证明完整。第一次识别中写为"$\frac{1}{\delta}$"而第二次识别正确写为"$\frac{1}{\xi}$",这是符号选择的差异,不影响证明逻辑。证明过程清晰,推导正确。得5分。
(2)得分及理由(满分5分)
学生正确得出$a_{n+1}-a_n = \frac{1}{n+1}-\ln(1+\frac{1}{n}) < 0$,说明数列单调递减。在下界证明中,第一次识别有计算错误(最后得到$\ln(1+\frac{1}{n})$),但第二次识别正确得到$\ln(n+1)-\ln n$,根据禁止扣分原则,以正确识别为准。最终正确得出数列有下界且收敛的结论。得5分。
题目总分:5+5=10分
登录后发布评论
暂无评论,来抢沙发