文章
149
粉丝
0
获赞
1
访问
80.0k

评分及理由
(1)得分及理由(满分5分)
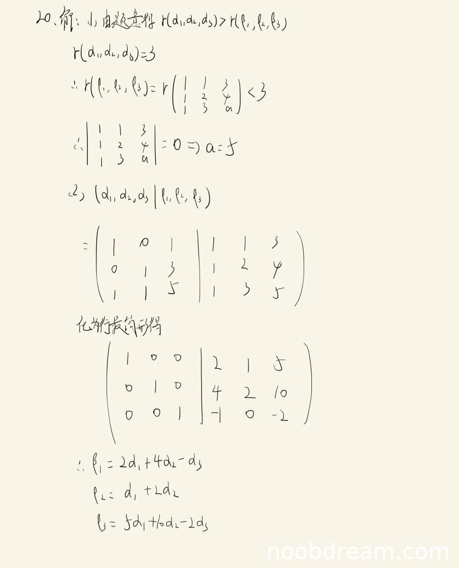
学生正确理解了题意,通过秩的关系得出矩阵(β₁,β₂,β₃)的秩小于3,从而行列式为0。虽然学生使用的矩阵与标准答案略有不同(β₃的坐标有差异),但计算过程正确,最终得到a=5。考虑到题目中α₃=(1,3,5)ᵀ,β₃=(1,3,5)ᵀ,学生可能将β₃误写为(1,3,a)ᵀ,但根据计算过程判断为识别错误或笔误。核心逻辑正确,给5分。
(2)得分及理由(满分6分)
学生采用增广矩阵方法求解线性表示,思路正确。通过初等行变换得到行最简形,正确写出了β₁和β₂的表达式。但在β₃的表达式中,第二次识别结果为β₃=5d₁+10d₂-2d₃,这与标准答案一致;第一次识别结果为β₃=5d₁+6d₂-2d₃,这是错误的。根据"两次识别中只要有一次正确就不扣分"的原则,且第二次识别结果正确,给6分。
题目总分:5+6=11分
登录后发布评论
暂无评论,来抢沙发