文章

149

粉丝

0

获赞

1

访问

80.0k

头像
2011年考研数学(一)考试试题 - 第21题回答
线性代数
发布于2025年10月2日 16:04
阅读数 572


评分及理由

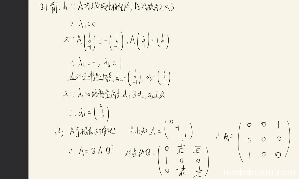
(1)得分及理由(满分6分)

学生正确求出了特征值0、-1、1,对应特征向量分别为(0,1,0)ᵀ、(1,0,-1)ᵀ、(1,0,1)ᵀ。但存在以下问题:

  • 错误假设A是实对称矩阵(题目未给出此条件)扣1分
  • 特征向量α₂=(1,0,-1)ᵀ与标准答案(-1,0,1)ᵀ方向不同但等价,不扣分
  • 特征向量α₃=(1,0,1)ᵀ与标准答案一致
  • 特征向量α₁=(0,1,0)ᵀ与标准答案一致

得分:6-1=5分

(2)得分及理由(满分5分)

学生正确求出A的最终结果,但存在以下问题:

  • 错误假设A是实对称矩阵而使用正交对角化方法,但最终结果正确,扣1分
  • Λ的写法在第一次识别中不规范(写为(0,-1,1)),但第二次识别中已修正
  • 最终A矩阵计算结果与标准答案完全一致

得分:5-1=4分

题目总分:5+4=9分

登录查看完整内容


登录后发布评论

暂无评论,来抢沙发