文章
149
粉丝
0
获赞
1
访问
80.0k

评分及理由
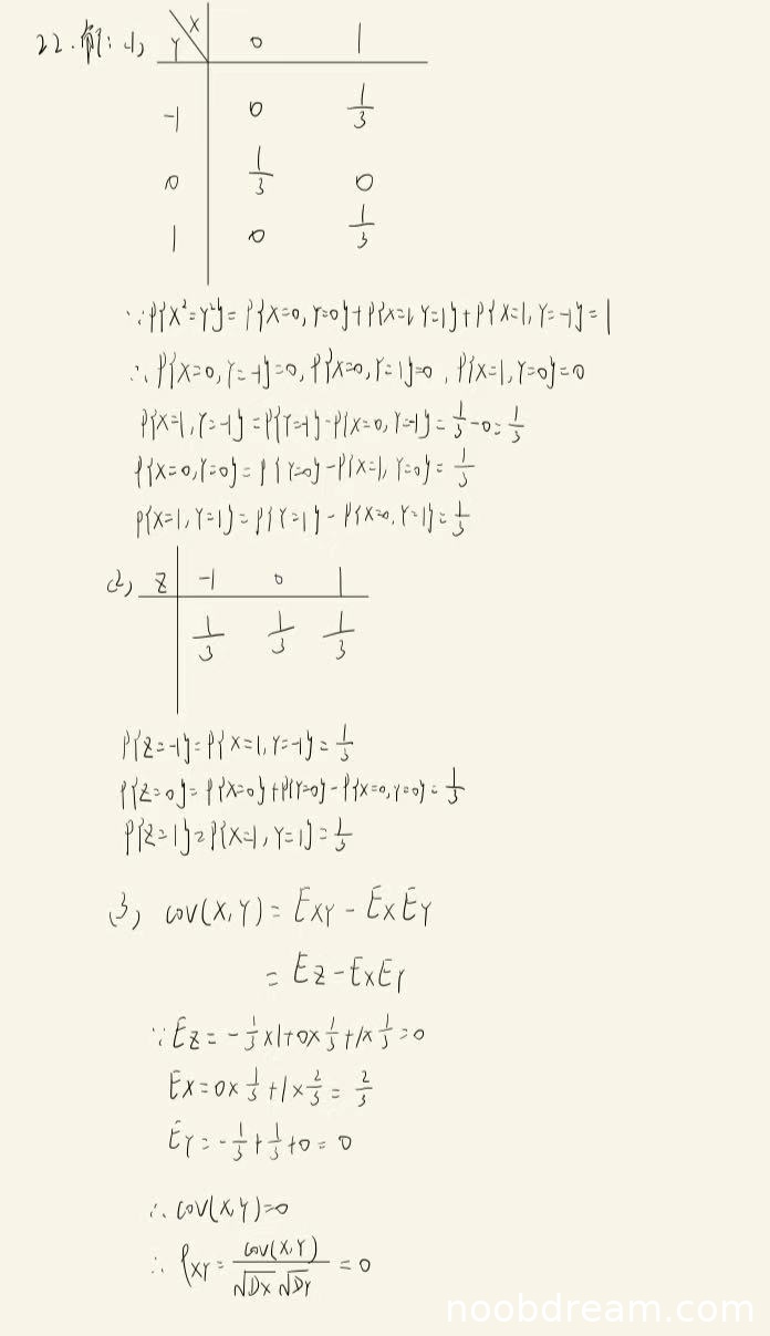
(1)得分及理由(满分4分)
学生正确推导了联合分布表,与标准答案完全一致。虽然第一次识别中写的是"P{X=0,Y=1}",但根据上下文和第二次识别的正确表述,可以判断为识别错误,实际应为"P{X=0,Y=1}=0"。联合分布表完全正确,得4分。
(2)得分及理由(满分4分)
学生正确给出了Z的分布律,结果与标准答案一致。虽然计算P{Z=0}的方法与标准答案不同(使用了概率的加法公式),但结果是正确的,且思路合理。根据评分要求,思路正确不扣分,得4分。
(3)得分及理由(满分3分)
学生正确计算了协方差和相关系数,过程完整,结果正确。E(X)、E(Y)、E(Z)的计算都正确,最终得到相关系数为0,与标准答案一致,得3分。
题目总分:4+4+3=11分
登录后发布评论
暂无评论,来抢沙发