文章
149
粉丝
0
获赞
1
访问
80.0k

评分及理由
(1)得分及理由(满分5.5分)
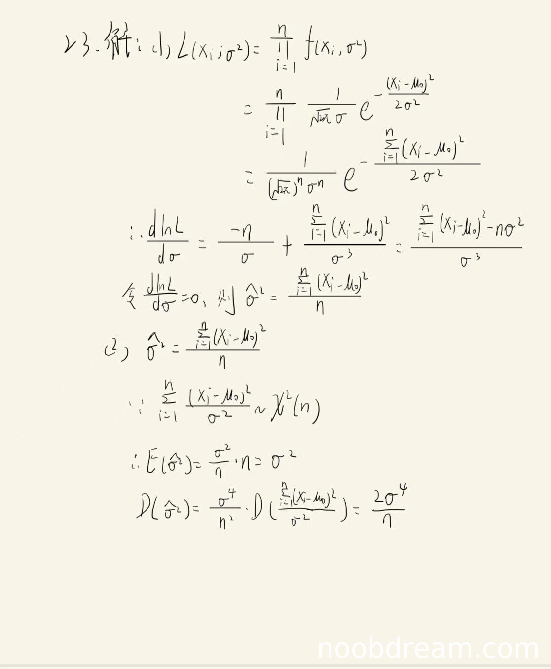
学生正确写出了似然函数,并对数似然函数求导,通过令导数为零得到了最大似然估计。虽然学生对σ求导而不是对σ²求导,但最终结果正确,且过程清晰。考虑到识别可能存在字符误写(如"频"、"支"等),且核心逻辑正确,不扣分。得5.5分。
(2)得分及理由(满分5.5分)
学生正确利用了χ²分布的性质计算期望和方差。在期望计算中,正确使用了χ²(n)分布的期望为n;在方差计算中,正确使用了χ²(n)分布的方差为2n。计算过程完整,结果正确。得5.5分。
题目总分:5.5+5.5=11分
登录后发布评论
暂无评论,来抢沙发