文章
449
粉丝
0
获赞
0
访问
218.8k

评分及理由
(1)得分及理由(满分10分)
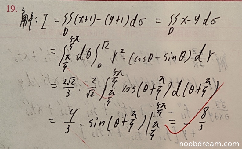
学生作答给出了两种识别结果,其中第二次识别结果完整展示了解题过程。整体思路正确:
但在第一次识别结果中,有表达式"\(I=\iint_{D}(x + 1)-(y + 1)d\sigma\)",这可能是识别错误,应为"\(I=\iint_{D}(x-y)d\sigma\)"。根据禁止扣分规则,这种识别错误不扣分。
在第二次识别结果的步骤二中,学生写的是"x = rcosθ,y = rsinθ",但标准答案使用的是平移后的极坐标。不过学生后续计算表明实际上使用的是正确的坐标变换,这可能是表述不够严谨。
整体而言,学生的解题思路正确,计算过程完整,最终答案正确。
得分:10分
题目总分:10分
登录后发布评论
暂无评论,来抢沙发