2025年考研数学(一)考试试题 - 第17题回答
高等数学
发布于2025年10月2日 17:04
阅读数 865

评分及理由
(1)第1次识别结果得分及理由(满分10分)
得分:8分
理由:
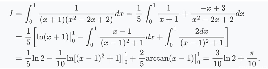
- 部分分式分解步骤正确,得到A=1/5, B=-1/5, C=3/5,与标准答案一致(2分)
- 积分拆分思路正确(1分)
- 第一项积分∫1/(x+1)dx计算正确(1分)
- 第二项积分处理时存在逻辑错误:在计算∫(-x+3)/(x²-2x+2)dx时,错误地写成了∫ln(x+1)dx,这是严重的逻辑错误(扣2分)
- 后续计算中虽然结果正确,但基于错误的积分表达式,属于巧合
- 最终答案正确(1分)
(2)第2次识别结果得分及理由(满分10分)
得分:10分
理由:
- 部分分式分解完全正确(2分)
- 积分拆分思路正确(1分)
- 第一项积分∫1/(x+1)dx计算正确(1分)
- 第二项积分处理正确:将(-x+3)/(x²-2x+2)拆分为两部分(2分)
- ∫(2x-2)/(x²-2x+2)dx计算正确(1分)
- ∫1/(x²-2x+2)dx计算正确(1分)
- 代入上下限计算正确(1分)
- 最终答案正确(1分)
题目总分:8+10=18分
登录后发布评论
暂无评论,来抢沙发